bestäm c och k
frågan:
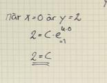
kurvan y = Cekx går genom punkten (0,2) och har där lutningen 3. Bestäm C och K

1. jag förstår inte hur C fås ut genom att sätta in koordinaten? (alltså hur och varför man kom fram till det?)
2. ((vi säger att k hade varit x-värdet hade varit 2, hur hade man fått ut det då?))
3. hur resonerar man att k-värdet inte är 3? (för det står ju att lutningen vid den koordinaten är 3, varför kan man inte sätta in att k=3?
Du har att:
Vi har en punkt (0, 2), detta betyder att när x = 0 är y = 2, dvs:
.
Att lutningen är 3 betyder att derivatan i punkten x = 0 är 3, dvs:
.
Nu har vi två ekvationer och två obekanta.
Notera att inte är samma sak som i formlen: där är lutningen för linjen.
Eftersom vi inte har en linjär funktion, så använder vi derivatan. Annars hade vi behövt dra en massa tangenter för olika x - värden för att hitta lutningen vilket inte är exakt och extremt omständigt.
Är du med på varför det fungerar? Säg annars till. :)
Dracaena skrev:Du har att:
Vi har en punkt (0, 2), detta betyder att när x = 0 är y = 2, dvs:
.
Att lutningen är 3 betyder att derivatan i punkten x = 0 är 3, dvs:
.
Nu har vi två ekvationer och två obekanta.Notera att inte är samma sak som i formlen: där är lutningen för linjen.
Eftersom vi inte har en linjär funktion, så använder vi derivatan. Annars hade vi behövt dra en massa tangenter för olika x - värden för att hitta lutningen vilket inte är exakt och extremt omständigt.
Är du med på varför det fungerar? Säg annars till. :)
okej jo men det tror jag är med på, tror jag blandade ihop det. om jag tänker rätt så..
k-värdet i ekx säger alltså inte något om lutningen, vilket jag först trodde, men det är ju bara en konstant..
och i detta fall är lutningen 3 när x är 0, dvs f'(0) = 3
hur hade man gjort ifall x-värdet var 2?
för då hade vi ju fått att
2 = c * ek*2