Bestäm cdf och pdf av max

Visst är det så att
varför
och när jag har integrerat funktionen skriver jag det istället som en funktion av y upphöjt i n?
Har för mig att det är hela funktionen som blir upphöjt till n, inte bara y. Om jag tolkade det du sa rätt. Testa!
Du har rätt uttryck för cdf för X, dvs . Vad säger hinten? Vi kan tänka såhär:
där den sista likheten kommer från att är oberoende.
Och eftersom får vi att
. Här kan du då plugga in ditt uttryck för
Sedan kan du få som derivatan av
Micimacko skrev:Har för mig att det är hela funktionen som blir upphöjt till n, inte bara y. Om jag tolkade det du sa rätt. Testa!
Menade såklart hela funktionen, skrev lite slarvigt! Tack!
Men så, om jag har förstått det hela rätt:
Är det så jag ska gå tillväga?
?? Du räknar ut ett Fx på rad 1, sen stoppar du in ett helt annat på rad 2?
Har för mig att man ska ta inversen av Fx(x) och att det är det man sedan deriverar?
Om du hade bara y^n som du var inne på först hade du haft F(y^(1/n)). Men att invertera hela fördelningsfunktionen känner jag inte igen alls.
Oavsett metod får du vara mer noga med att skriva att du gör det du faktiskt gör.
Testa göra det du skrev att du gjorde och se om vi får fram något vettigt.
Fibonacci skrev:Micimacko skrev:Har för mig att det är hela funktionen som blir upphöjt till n, inte bara y. Om jag tolkade det du sa rätt. Testa!
Menade såklart hela funktionen, skrev lite slarvigt! Tack!
Men så, om jag har förstått det hela rätt:
Är det så jag ska gå tillväga?
Jag kanske förvirrade dig med att byta ut x mot y och du därför räknade ut inversen till F_X, men det är inte vad det står. Lilla x och y är ju bara variabelnamn. Så ingen invers behövs, det är bara att funktionsvariablen kallas för y
Hondel skrev:Fibonacci skrev:Micimacko skrev:Har för mig att det är hela funktionen som blir upphöjt till n, inte bara y. Om jag tolkade det du sa rätt. Testa!
Menade såklart hela funktionen, skrev lite slarvigt! Tack!
Men så, om jag har förstått det hela rätt:
Är det så jag ska gå tillväga?
Jag kanske förvirrade dig med att byta ut x mot y och du därför räknade ut inversen till F_X, men det är inte vad det står. Lilla x och y är ju bara variabelnamn. Så ingen invers behövs, det är bara att funktionsvariablen kallas för y
Tror faktiskt inte att det var du som förvirrade mig, men jag fick för mig att vi gjorde så i en tidigare kurs i statistik teori. Men okej, då är det bara att ta derivatan rakt av för mitt uttryck av F(x)? Det räcker så?
Fibonacci skrev:Hondel skrev:Fibonacci skrev:Micimacko skrev:Har för mig att det är hela funktionen som blir upphöjt till n, inte bara y. Om jag tolkade det du sa rätt. Testa!
Menade såklart hela funktionen, skrev lite slarvigt! Tack!
Men så, om jag har förstått det hela rätt:
Är det så jag ska gå tillväga?
Jag kanske förvirrade dig med att byta ut x mot y och du därför räknade ut inversen till F_X, men det är inte vad det står. Lilla x och y är ju bara variabelnamn. Så ingen invers behövs, det är bara att funktionsvariablen kallas för y
Tror faktiskt inte att det var du som förvirrade mig, men jag fick för mig att vi gjorde så i en tidigare kurs i statistik teori. Men okej, då är det bara att ta derivatan rakt av för mitt uttryck av F(x)? Det räcker så?
Du ska också ta hela F_X upphöjt till n.
Hej,
Ja, fördelningsfunktionen för -fördelningen är
vilket ger att fördelningsfunktionen för är
och dess tillhörande täthetsfunktion är derivatan
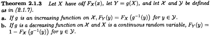
Jag tänkte bara visa att jag hittade detta i min bok (angående inversen), det är det jag måste ha tänkt på
