4
svar
126
visningar
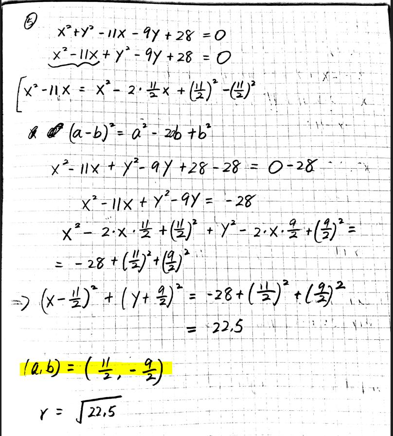
Bestäm cirkelns ekvation och radie (med given ekvation)

Jag behöver hjälp bestämma cirkelns medelpunkt

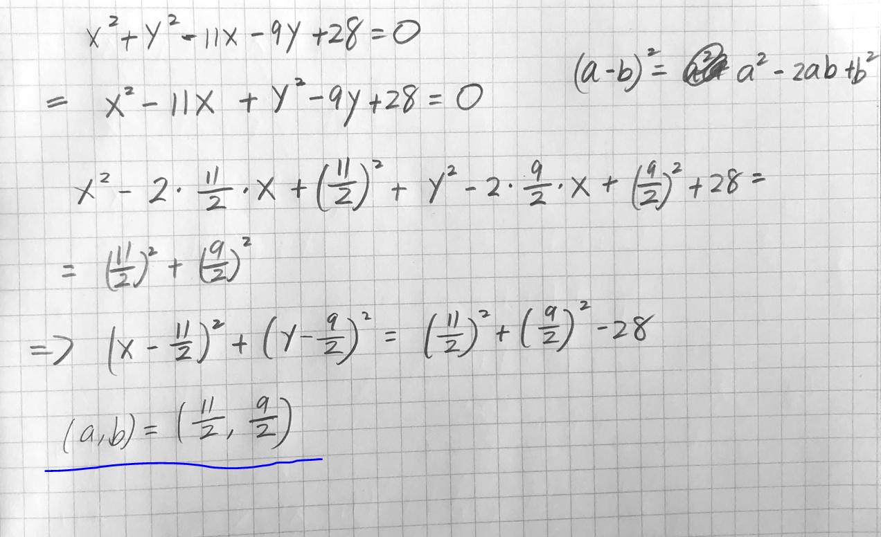
När du har kvadratkompletterat, expandera alltingen igen. Är det verkligen samma sak som du började med?
Jag har inte kollat igenom dina beräkningar fram tills du är klar, men jag ser direkt att det inte kan vara rätt. Du började exempelvis med -9y, vart någonstans kommer du att få ut -9y med kvadraten: ?
Tillägg: 17 jul 2022 15:13
Det verkar som att du har råkat flippat tecknet i kvadraten, annars verkar det stämma.

Räknat ja rätt nu?
Ja, nu ser det bra ut.
Så medelpunkten (a,b) är lika med (11/2, 9/2).