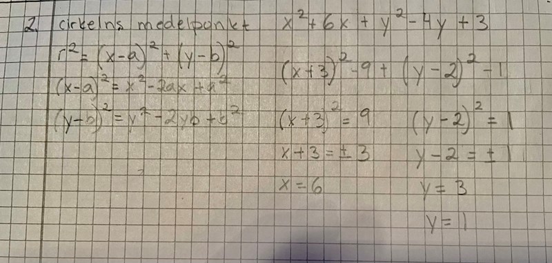
Bestäm cirkelns mittpunkt

Har jag gjort rätt? Jag fick två värden på y och vet därför inte hur jag ska komma vidare
Hej!
Det är menat att cirkelns medelpunkt ska ha en x koordinat och en y koordinat.
Det generella sambandet till cirkelns medelpunkt i en punkt P är (x0, y0) vilket ger (x-x0)2+(y-y0)2 = r2
Hoppas att detta hjälper!
Edit: Vad jag ser nu är att du har inte kvadratkompletterat tillräckligt för att få den allmänna formen på cirkelns ekvation. Detta är dock väldigt abstrakt men du behöver addera på båda sidor för att kunna få den allmänna formen.
Du vet och då måste q vara 9 då kvadreringsregeln säger så.
Då behöver du addera 9 på båda sidor, sen gör du samma sak med y.
Räknar jag fel?
Räknar jag fel?
Ja.
Du har ekvationen x2+6x+y2-4y+3 = 0. Du vill komma fram till en ekvation som ser ut som (x-x0)2+(y-y0)2 = r2.
Är du med på det?
x2 + 6x = (x+3)2 - 9
y2 - 4x = (y-2)2 - 4
x2+6x+y2-4y+3 = (x+3)2 - 9 + (y-2)2 - 4 + 3 = (x+3)2 + (y-2)2 - 10
Så x2+6x+y2-4y+3 = 0 är ekvivalent med (x+3)2 + (y-2)2 = 10
Laguna skrev:x2 + 6x = (x+3)2 - 9
y2 - 4x = (y-2)2 - 4x2+6x+y2-4y+3 = (x+3)2 - 9 + (y-2)2 - 4 + 3 = (x+3)2 + (y-2)2 - 10
Så x2+6x+y2-4y+3 = 0 är ekvivalent med (x+3)2 + (y-2)2 = 10
jaha, så jag behöver inte räkna ut rötterna utan det räcker att jag kvadratkompletterar?
Du skall "bara" kvadratkomplettera. Det finns massor av punkter där ekvationen är sann - de ligger allihop på en cirkel med mittpunkt i (-3,2) och radien .
Det du gjorde i början verkar vara att du hittar vissa punkter som ligger på cirkeln.
Smaragdalena skrev:Du skall "bara" kvadratkomplettera. Det finns massor av punkter där ekvationen är sann - de ligger allihop på en cirkel med mittpunkt i (-3,2) och radien .
okej, och för att räkna ut arean är det
Ja. Nu förutsätter jag att Laguna ar räknat rätt.