Bestäm den allmänna lösningen till den diofantiska ekv.
Uppgift:
Bestäm den allmänna lösningen till den Diofantiska ekvationen
25x − 14y = 20
Källa:http://www.math.chalmers.se/Math/Grundutb/CTH/tmv210/1617/tenta221016.pdf
Tankar:
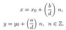
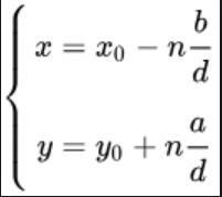
Jag är osäker på hur jag skall skriva formeln för den allmänna lösningen till ekvationen så att rätt tecken används mellan termerna. Ibland uttrycks den allmänna formeln som i (båda har plus-tecken mellan termerna) och ibland som (båda har motsatt tecken mellan termerna)

Fråga:
Vad är det som avgör ifall jag skall använda mig av formeln i eller ?
Låt säga att vi skall bestämma den allmänna lösningen till den Diofantiska ekvationen
25x − 14y = 20 (där a = 25, b = 14)
Efter att ha använt oss av euklides algoritm får vi följande
1 = − 5 · 25 + 9 · 14.
1 = 25·(-5) + 14·(9)
Efter att ha multiplicerat med 20 i båda led får vi
20 = 25·(− 100) - 14·(-180)
Nu har vi det på samma form som den givna diofantiska ekvationen 25x - 14y = 20.
Vi ser att x0 = -100 och y0 = -180.
Vad är det som avgör ifall jag skall använda mig av formeln i figur 1 eller figur 2?
n antar alla hela tal, eller hur? Vad blir skillnaden om du byter ut n=1 mot -1? 2 mot -2?
haraldfreij skrev:n antar alla hela tal, eller hur? Vad blir skillnaden om du byter ut n=1 mot -1? 2 mot -2?
Det argumentet hade fungerat om det var + i båda eller - i båda ekvationerna, men nu är det + för x och - för y i det ena fallet, och samma tecken i det andra.
Använder vi formeln i när den diofantiska ekvationen är på formen:
ax by = c
och formeln i när den diofantiska ekvationen är på formen:
ax by = c
? Kan man ha det som en tumregel?
Sorry, läste slarvigt. Då blir jag väl tvungen att tänka istället :)
Du har helt rätt i det du kallar en "tumregel" (vilket är mycket mer än så, den ena regeln gäller ju inte i det andra fallet). Det här illustrerar faran med att lära sig formler istället för härledningar, man har inte koll på sina tecken längre och får svårt att förstå vad som är rimligt. Men här är rimlighetskontrollen ganska enkel - i ett fall där både a och b är positiva, och du skriver VL ax+by, måste y minska om x ökar och vice versa, för att hålla HL konstant. Skriver du ax-by däremot måste båda öka samtidigt.
haraldfreij skrev:Sorry, läste slarvigt. Då blir jag väl tvungen att tänka istället :)
Du har helt rätt i det du kallar en "tumregel" (vilket är mycket mer än så, den ena regeln gäller ju inte i det andra fallet). Det här illustrerar faran med att lära sig formler istället för härledningar, man har inte koll på sina tecken längre och får svårt att förstå vad som är rimligt. Men här är rimlighetskontrollen ganska enkel - i ett fall där både a och b är positiva, och du skriver VL ax+by, måste y minska om x ökar och vice versa, för att hålla HL konstant. Skriver du ax-by däremot måste båda öka samtidigt.
Jag håller helt med dig om faran att memorera formler. Det känns inte som något att eftersträva, men ibland ett "måste" när tiden inte räcker till :( Jag vet dock hur jag kan göra en kontroll efter att jag räknat ut x och y, och visar det sig att när jag stoppar in mina värden så har jag förmodligen satt fel tecken i formeln för de allmänna lösningarna. Alternativt gjort ett räknefel när jag använt euklides algoritm