1
svar
289
visningar
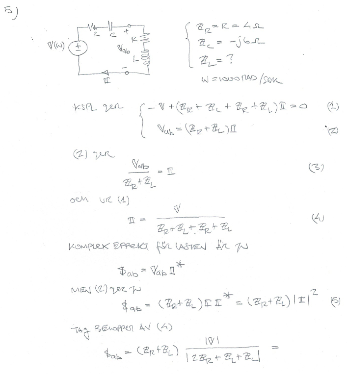
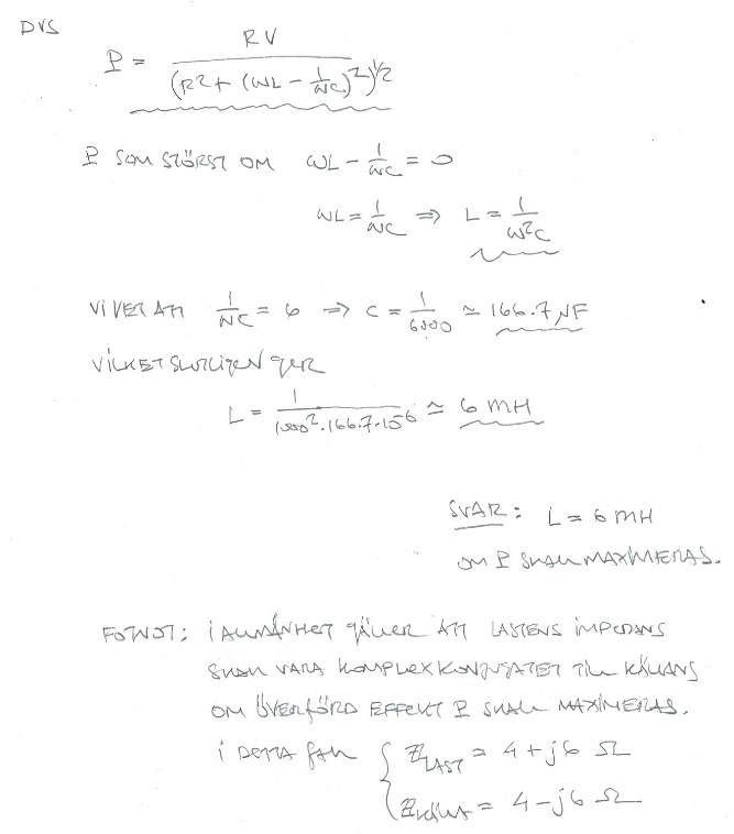
Bestäm den komplexa effekten som lasten förbrukar och bestäm ett värde för induktansen L
Hej! Jag försöker förstå lösningsförslaget på denna tenta men jag fastnar på detta steg:

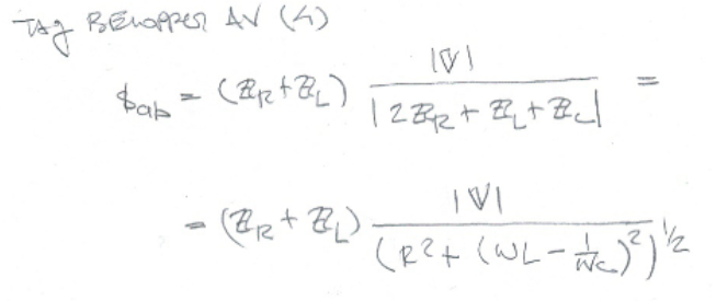
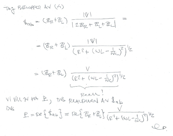
Vad händer med 2:an framför ZR i andra raden?
Och sedan i följande steg, hur visste vi att 1/(omega*c) = 6?

facit:



Tack på förhand!
Du är inte ensam om att fastna där!
Jag saknar en kvadrering av Annars får ju Sab enheten Volt i stället för Watt.
Sen verkar lösningen förutsätta att det är max effekt som gäller för både a- och b-uppgifterna. Det står inget om det när det gäller a-uppgiften.