5 svar
128 visningar
dedede 2 – Fd. Medlem
Postad: 9 feb 2023 17:46

Bestäm den ortogonala projektionen av 1 på H

a) Den ortogonal basen för är H=span{1+t, 6−t+7t}

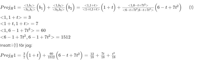
Jag ska räkna ut en ortogonal projektion av 1 på H som jag tror man gör med formeln:

Vilket inte är rätt svar, har kontrollräknat för många gånger

Calle_K 2386
Postad: 9 feb 2023 18:45

Ser ut som att du har använt dig av rätt metod. Har du kontrollräknat flera gånger finns det inte mycket mer att göra. Är du säker på att uppgift a) är rätt? Vad säger facit?

dedede 2 – Fd. Medlem
Postad: 9 feb 2023 19:18

Jag är helt säker a är rätt det är b som inte stämmer

timdidehvar 1
Postad: 11 feb 2024 17:00

Sitter med samma fråga och stöter på samma problem. Har du kommit fram till något svar?

Calle_K 2386
Postad: 11 feb 2024 21:07
timdidehvar skrev:

Sitter med samma fråga och stöter på samma problem. Har du kommit fram till något svar?

Välkommen till Pluggakuten.

Jag har kontrollräknat allt fram till den sista förenkligen, så förutsatt att den gäller så är det antingen fel i facit eller i problemformuleringen.

Vad säger ditt facit att svaret ska bli?

Calle_K 2386
Postad: 11 feb 2024 21:13 Redigerad: 11 feb 2024 21:13

Ser nu att det är just sista förenklingen som inte stämmer, t.ex borde vi ha termen 60*71512t2=518t2.

Utgå från det som står i VL i sista raden och förenkla så kanske du får rätt svar.

Svara
Close