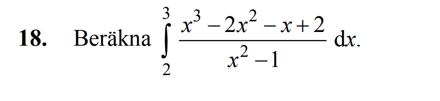
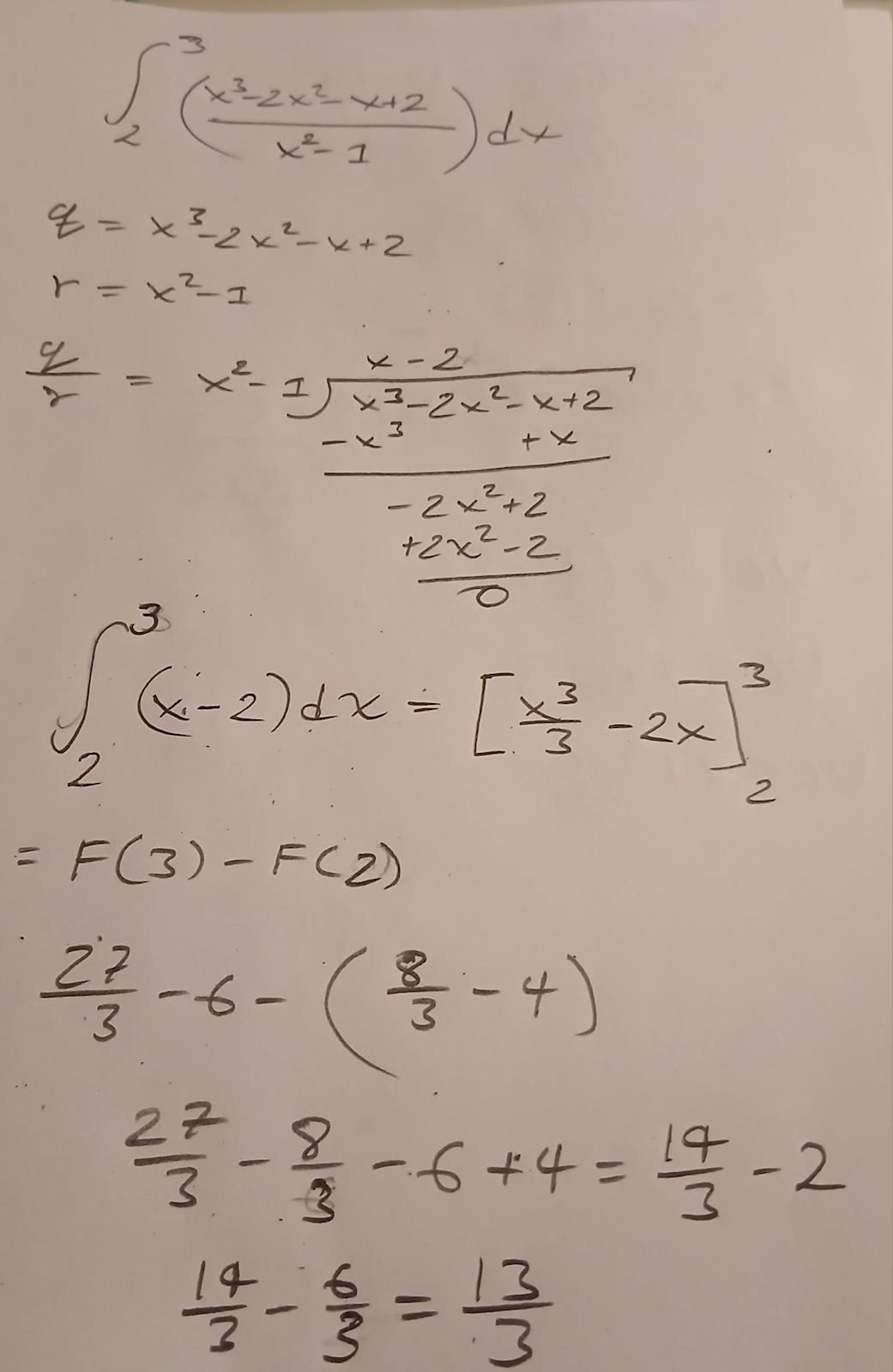
Matematik / Matte 4 / Komplexa tal 2 svar 12 visningar Arup 2392 Postad: Igår 22:06 Bestäm den primtiva funktion av poly divisonen Arup 2392 Postad: Igår 22:08 Jag tänkte så här Arup 2392 Postad: Igår 22:13 Jag inser nu att jag har tänkt fel när jag skulle ta den primitiva funktionen av x-2 Användare skriver Svara Du behöver Logga in eller Bli medlem först! Avbryt