Beräkna på formen a + bi talen ...

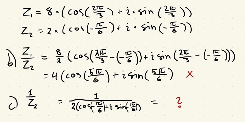
Ser ni vad jag har gjort felaktigt i b? Samt skulle jag kunna få lite hjälp att börja på c-uppgiften?
Tack!
b)
Visa spoiler
c)
Visa spoiler
b) Du räknar rätt, men behöver beräkna sinus och cosinus för argumentet 5π/6.
c) gör likadant som i b). 1 har belopp 1 och argument t.ex 0.
Ah ja det stämmer som du säger, det är en sån vinkel som är definierad i tabellerna.
Har kommit till ett svar på c men jag får det till -sqrt(3)/4 istället för sqrt(3). Argumentet för 1 är ju pi, så det kommer att bli 6pi/6 + pi/6 = 7pi/6, vilket jag får till då -sqrt(3)/2 för cos och -1/2 för sin då det är i fjärde kvadranten. Ser du vart jag tänker fel?
Argumentet för 1 är 0.
Ture skrev:Argumentet för 1 är 0.
åh ja tänkte fel där också... Tack för svar båda två!