destiny99 behöver inte mer hjälp
destiny99 11657
Postad: Igår 22:17

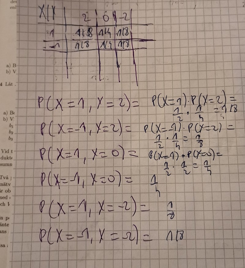
Bestäm den simultana sannolikhetsfunktion för X och Y

Hej!

Hur ska man tänka i a)?

Hondel 1559
Postad: Igår 22:34

Simultana sannolikhetsfunktionen är p(x,y)=P(X=x,Y=y)p(x,y)=P(X=x,Y=y). Jag skulle nog bara börjat fundera på vilka värden X och Y kan anta, sätts upp en tabell och sedan fylla i. P(X=1,Y=0)=P(X=1)P(Y=0|X=1)P(X=1, Y=0) = P(X=1)P(Y=0|X=1) osv 

destiny99 11657
Postad: Idag 10:42 Redigerad: Idag 10:42
Hondel skrev:

Simultana sannolikhetsfunktionen är p(x,y)=P(X=x,Y=y)p(x,y)=P(X=x,Y=y). Jag skulle nog bara börjat fundera på vilka värden X och Y kan anta, sätts upp en tabell och sedan fylla i. P(X=1,Y=0)=P(X=1)P(Y=0|X=1)P(X=1, Y=0) = P(X=1)P(Y=0|X=1) osv 

Får ej rätt svar..

kakadua 3
Postad: Idag 11:19

Då X och Y inte är oberoende kommer det inte gälla att P(X=x,Y=y)=P(X=x) P(Y=y).

Exempelvis  P(Y=2)=14och P(X=-1)=12som jag ser att du har skrivit, men vad är P(X=-1, Y=2)? På ren svenska "vad är sannolikheten att partikeln är i läge -1 efter första hoppet och läge 2 efter andra hoppet?".

 

Som Hondels skrev i sin post bör du använda betingning: P(X=x,Y=y)=P(Y=y|X=x)P(X=x).

destiny99 11657
Postad: Idag 11:21
kakadua skrev:

Då X och Y inte är oberoende kommer det inte gälla att P(X=x,Y=y)=P(X=x) P(Y=y).

Exempelvis  P(Y=2)=14och P(X=-1)=12som jag ser att du har skrivit, men vad är P(X=-1, Y=2)? På ren svenska "vad är sannolikheten att partikeln är i läge -1 efter första hoppet och läge 2 efter andra hoppet?".

 

Som Hondels skrev i sin post bör du använda betingning: P(X=x,Y=y)=P(Y=y|X=x)P(X=x).

Ja de är inte oberoende men det står oberoende efter första hoppet. Tyvärr vet jag inte vad P(Y=2|X=1) är här. Den är inte känd för oss

kakadua 3
Postad: Idag 11:37
destiny99 skrev:
kakadua skrev:

Då X och Y inte är oberoende kommer det inte gälla att P(X=x,Y=y)=P(X=x) P(Y=y).

Exempelvis  P(Y=2)=14och P(X=-1)=12som jag ser att du har skrivit, men vad är P(X=-1, Y=2)? På ren svenska "vad är sannolikheten att partikeln är i läge -1 efter första hoppet och läge 2 efter andra hoppet?".

 

Som Hondels skrev i sin post bör du använda betingning: P(X=x,Y=y)=P(Y=y|X=x)P(X=x).

Ja de är inte oberoende men det står oberoende efter första hoppet. Tyvärr vet jag inte vad P(Y=2|X=1) är här. Den är inte känd för oss

Det som menas med "oberoende efter första hoppet" som jag tolkar det är att det spelar ingen roll vad första hoppet var för andra hoppet.  Som exempel P(andra hoppet är +1 | första hoppet var +1) = P(andra hoppet är +1).

 

P(Y=2 | X=1) är en betingad sannolikhet, d.v.s "Sannolikheten att Y=2 givet att X=1".

destiny99 11657
Postad: Idag 11:46
kakadua skrev:
destiny99 skrev:
kakadua skrev:

Då X och Y inte är oberoende kommer det inte gälla att P(X=x,Y=y)=P(X=x) P(Y=y).

Exempelvis  P(Y=2)=14och P(X=-1)=12som jag ser att du har skrivit, men vad är P(X=-1, Y=2)? På ren svenska "vad är sannolikheten att partikeln är i läge -1 efter första hoppet och läge 2 efter andra hoppet?".

 

Som Hondels skrev i sin post bör du använda betingning: P(X=x,Y=y)=P(Y=y|X=x)P(X=x).

Ja de är inte oberoende men det står oberoende efter första hoppet. Tyvärr vet jag inte vad P(Y=2|X=1) är här. Den är inte känd för oss

Det som menas med "oberoende efter första hoppet" som jag tolkar det är att det spelar ingen roll vad första hoppet var för andra hoppet.  Som exempel P(andra hoppet är +1 | första hoppet var +1) = P(andra hoppet är +1).

 

P(Y=2 | X=1) är en betingad sannolikhet, d.v.s "Sannolikheten att Y=2 givet att X=1".

Men hur ska man resonera just när det står betingad? Jag vet att man vet att X=1 har inträffat vid första hoppet och andra hoppet kan bara bli X=1 och då blir Y=2 . Men vi vet att totala antal möjlga utfall är 2 då vi har (1,-1) och gynsamma är bara 1 eftersom Y=2

kakadua 3
Postad: Idag 11:57
destiny99 skrev:
kakadua skrev:
destiny99 skrev:
kakadua skrev:

Då X och Y inte är oberoende kommer det inte gälla att P(X=x,Y=y)=P(X=x) P(Y=y).

Exempelvis  P(Y=2)=14och P(X=-1)=12som jag ser att du har skrivit, men vad är P(X=-1, Y=2)? På ren svenska "vad är sannolikheten att partikeln är i läge -1 efter första hoppet och läge 2 efter andra hoppet?".

 

Som Hondels skrev i sin post bör du använda betingning: P(X=x,Y=y)=P(Y=y|X=x)P(X=x).

Ja de är inte oberoende men det står oberoende efter första hoppet. Tyvärr vet jag inte vad P(Y=2|X=1) är här. Den är inte känd för oss

Det som menas med "oberoende efter första hoppet" som jag tolkar det är att det spelar ingen roll vad första hoppet var för andra hoppet.  Som exempel P(andra hoppet är +1 | första hoppet var +1) = P(andra hoppet är +1).

 

P(Y=2 | X=1) är en betingad sannolikhet, d.v.s "Sannolikheten att Y=2 givet att X=1".

Men hur ska man resonera just när det står betingad? Jag vet att man vet att X=1 har inträffat vid första hoppet och andra hoppet kan bara bli X=1 och då blir Y=2 . Men vi vet att totala antal möjlga utfall är 2 då vi har (1,-1) och gynsamma är bara 1 eftersom Y=2

Hmmm förstår inte riktigt vad du menar med att andra hoppet kan bara bli X=1 och då blir Y=2. Men det är som du säger att om X=1 så finns det 2 möjliga utfall: andra hoppet blir +1 eller -1 så då kan Y alltså vara 0 eller 2. Det gynsamma utfallet är ju det fallet vi är intresserade av, till exempel då Y=2.

 

Hur jag resonerar med betingad sannolikhet i det här fallet är att jag tolkar P(Y=2 | X=1) ordagrannt som "Sannolikheten att Y=2 givet att X=1" som är samma sak som "Sannolikheten att partikeln är i position 2 efter andra hoppet givet att partikeln var i position 1 efter första hoppet" som är samma sak som att "Sannolikheten att partikeln hoppar till position 2 (andra hoppet) från position 1". Förstår du vad jag menar eller svamlar jag bara?

destiny99 11657
Postad: Idag 12:19 Redigerad: Idag 12:24
kakadua skrev:
destiny99 skrev:
kakadua skrev:
destiny99 skrev:
kakadua skrev:

Då X och Y inte är oberoende kommer det inte gälla att P(X=x,Y=y)=P(X=x) P(Y=y).

Exempelvis  P(Y=2)=14och P(X=-1)=12som jag ser att du har skrivit, men vad är P(X=-1, Y=2)? På ren svenska "vad är sannolikheten att partikeln är i läge -1 efter första hoppet och läge 2 efter andra hoppet?".

 

Som Hondels skrev i sin post bör du använda betingning: P(X=x,Y=y)=P(Y=y|X=x)P(X=x).

Ja de är inte oberoende men det står oberoende efter första hoppet. Tyvärr vet jag inte vad P(Y=2|X=1) är här. Den är inte känd för oss

Det som menas med "oberoende efter första hoppet" som jag tolkar det är att det spelar ingen roll vad första hoppet var för andra hoppet.  Som exempel P(andra hoppet är +1 | första hoppet var +1) = P(andra hoppet är +1).

 

P(Y=2 | X=1) är en betingad sannolikhet, d.v.s "Sannolikheten att Y=2 givet att X=1".

Men hur ska man resonera just när det står betingad? Jag vet att man vet att X=1 har inträffat vid första hoppet och andra hoppet kan bara bli X=1 och då blir Y=2 . Men vi vet att totala antal möjlga utfall är 2 då vi har (1,-1) och gynsamma är bara 1 eftersom Y=2

Hmmm förstår inte riktigt vad du menar med att andra hoppet kan bara bli X=1 och då blir Y=2. Men det är som du säger att om X=1 så finns det 2 möjliga utfall: andra hoppet blir +1 eller -1 så då kan Y alltså vara 0 eller 2. Det gynsamma utfallet är ju det fallet vi är intresserade av, till exempel då Y=2.

 

Hur jag resonerar med betingad sannolikhet i det här fallet är att jag tolkar P(Y=2 | X=1) ordagrannt som "Sannolikheten att Y=2 givet att X=1" som är samma sak som "Sannolikheten att partikeln är i position 2 efter andra hoppet givet att partikeln var i position 1 efter första hoppet" som är samma sak som att "Sannolikheten att partikeln hoppar till position 2 (andra hoppet) från position 1". Förstår du vad jag menar eller svamlar jag bara?

Jag lyckades lösa uppgiften nu. Jag tänkte bara logiskt att X kan anta 1 eller -1 vid första hopp och andra hopp och totala antal möjliga utfall är 2. Vad gäller Y=2 såkan det bara inträffa vid 1 möjligt utfall där X måste vara 1 vid andra hoppet vilket ger gynnsamt utfall till 1 Så P=gynnsam utfall/möjliga utfall=1/2

Hondel 1559
Postad: Idag 16:03

Missade att det kommit svar här.

Jag är inte säker på jag är med på din förklaring. Men betingad sannolikhet P(Y=2|X=1)  är alltså sannolikheten att Y=2 givet att vi vet att X=1. Och om X är 1 så kommer Y antingen vara 0 eller 2 och med lika sannolikhet, eftersom man hoppar ett steg upp eller ned med lika sannolikhet. Så P(Y=2|X=1)=0.5

destiny99 11657
Postad: Idag 16:39 Redigerad: Idag 16:43
Hondel skrev:

Missade att det kommit svar här.

Jag är inte säker på jag är med på din förklaring. Men betingad sannolikhet P(Y=2|X=1)  är alltså sannolikheten att Y=2 givet att vi vet att X=1. Och om X är 1 så kommer Y antingen vara 0 eller 2 och med lika sannolikhet, eftersom man hoppar ett steg upp eller ned med lika sannolikhet. Så P(Y=2|X=1)=0.5

Ja alltså jag tänker mig som du säger att antal gynsamma utfall är 1 då vi har ett möjligt utfall som Y kan vara 2  och det är enbart när X=1 vid andra hopp och sen vet vi att totala antal möjliga är +-1 dvs 2. Jag är ej bra på att förklara sannolikhet här, men det är den logiken jag tänker mig att gynnsam utfall är 1 vid andra hopp om Y ska vara lika med 2 och totala antal möjliga är 2 då X kan anta 1 eller -1.

Hondel 1559
Postad: Idag 19:05
destiny99 skrev:
Hondel skrev:

Missade att det kommit svar här.

Jag är inte säker på jag är med på din förklaring. Men betingad sannolikhet P(Y=2|X=1)  är alltså sannolikheten att Y=2 givet att vi vet att X=1. Och om X är 1 så kommer Y antingen vara 0 eller 2 och med lika sannolikhet, eftersom man hoppar ett steg upp eller ned med lika sannolikhet. Så P(Y=2|X=1)=0.5

Ja alltså jag tänker mig som du säger att antal gynsamma utfall är 1 då vi har ett möjligt utfall som Y kan vara 2  och det är enbart när X=1 vid andra hopp och sen vet vi att totala antal möjliga är +-1 dvs 2. Jag är ej bra på att förklara sannolikhet här, men det är den logiken jag tänker mig att gynnsam utfall är 1 vid andra hopp om Y ska vara lika med 2 och totala antal möjliga är 2 då X kan anta 1 eller -1.

Okej, ja det gäller ju nu när det är lika sannolikhet för +1 och -1. Men hade det varit 75% +1 och 25 % -1, ja då hade sannolikheten istället varit 75%

Hondel 1559
Postad: Idag 19:07
Hondel skrev:
destiny99 skrev:
Hondel skrev:

Missade att det kommit svar här.

Jag är inte säker på jag är med på din förklaring. Men betingad sannolikhet P(Y=2|X=1)  är alltså sannolikheten att Y=2 givet att vi vet att X=1. Och om X är 1 så kommer Y antingen vara 0 eller 2 och med lika sannolikhet, eftersom man hoppar ett steg upp eller ned med lika sannolikhet. Så P(Y=2|X=1)=0.5

Ja alltså jag tänker mig som du säger att antal gynsamma utfall är 1 då vi har ett möjligt utfall som Y kan vara 2  och det är enbart när X=1 vid andra hopp och sen vet vi att totala antal möjliga är +-1 dvs 2. Jag är ej bra på att förklara sannolikhet här, men det är den logiken jag tänker mig att gynnsam utfall är 1 vid andra hopp om Y ska vara lika med 2 och totala antal möjliga är 2 då X kan anta 1 eller -1.

Okej, ja det gäller ju nu när det är lika sannolikhet för +1 och -1. Men hade det varit 75% +1 och 25 % -1, ja då hade sannolikheten istället varit 75%

Så ett annat sätt att tänka på det: om X=1 måste man ta ett steg +1 för att Y=2. Vad är sannolikheten för +1? I detta fall fanns alternativen +1 och -1 och båda hade samma sannolikhet alltså måste bådas sannolikheter vara 50 %

Svara
Close