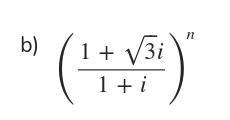
Bestäm det minsta positiva heltal n sådant att uttrycket är reellt


Jag kom fram till att uttrycket ser ut så här:
2/*(cos(15*n)+isin(15*n))
sin (15n) måste vara lika med noll för att få ett reellt uttryck
Har jag gjort rätt och vad är (n) isf?
Du har glömt att absilutbeloppet ska vara , men annars ser det bra ut.
Vad blir ditt svar, dvs vilket är det minsta värdet på det positiva heltalet n för vilket sin(n*15°) = 0?
Jag har inte glömt den men fokuset är på sin (n*15) = 0
jag tänker om vi multipicerar 15 med 24 så får vi sin 360 =0
men n=24 är inte det minsta postiva heltal
Pröva med n = 1, n = 2 o.s.v.
Eller tänk så här: För vilka vinklar v är sin(v) = 0?
Hej,
- Varje gång man multiplicerar med ett komplext tal så utförs en rotation.
- Det komplexa talet motsvarar en rotation radianer () moturs.
Varje gång du multiplicerar med roterar du alltså moturs. Frågan blir då: Hur många sådana rotationer behövs för att du ska roterat totalt moturs?
Alltså vilket positivt heltal är sådant att ?
Också hjälparna verkar lite förvirrade i den här tråden. Talet med argumentet 15° ska roteras så så att att argumentet blir 180°, vilket inträffar då
Jroth skrev:Också hjälparna verkar lite förvirrade i den här tråden. Talet med argumentet 15° ska roteras så så att att argumentet blir 180°, vilket inträffar då
Du har rätt.
Jag glömde det komplexa talet som finns i nämnaren; som motsvarar en rotation 45 grader medurs. Kvoten motsvarar därför en rotation grader moturs, så frågan blir att bestämma där grader.
Svaret blir n=12
Jag tänkte direkt att sin 360 = 0 men glömde att även sin 180= 0
Tack för hjälpen!
