4
svar
114
visningar
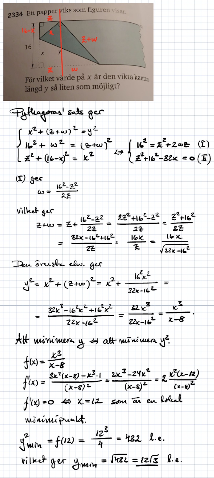
Bestäm det minsta värdet för y

De här är va jag kommit fram till

Jag undrar kunde man lösa uppgiften mha likformighet. Även om det inte var avsikten med uppgiften.
Arup skrev:Jag undrar kunde man lösa uppgiften mha likformighet. Även om det inte var avsikten med uppgiften.
Här är en annan variant som inledningsvis ger kortare räkningar.

