Bestäm det positiva talet t
Hej!
Jag körde fast på denna fråga. Hur kan jag lösa den? Vad som förvirrar mig här är atr de anger f(x) som vi ej har någon aning om samt ett givet polynom p(x).

destiny99 skrev:Hej!
Jag körde fast på denna fråga. Hur kan jag lösa den? Vad som förvirrar mig här är atr de anger f(x) som vi ej har någon aning om samt ett givet polynom p(x).
Det som står om f(x) gäller för alla funktioner, alltså även specifikt för p(x), men jag kan inte tolka från din bild vad p(x) skall vara. Det står x2 och x4 utan något tecken mellan - skall minustecknet vara mellan termerna i stället för efter den sista termen?
Smaragdalena skrev:destiny99 skrev:Hej!
Jag körde fast på denna fråga. Hur kan jag lösa den? Vad som förvirrar mig här är atr de anger f(x) som vi ej har någon aning om samt ett givet polynom p(x).
Det som står om f(x) gäller för alla funktioner, alltså även specifikt för p(x), men jag kan inte tolka från din bild vad p(x) skall vara. Det står x2 och x4 utan något tecken mellan - skall minustecknet vara mellan termerna i stället för efter den sista termen?
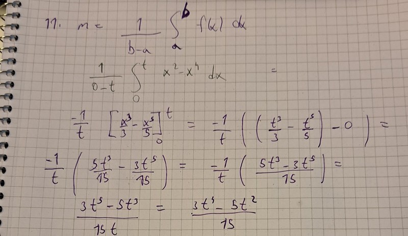
Aa okej ja precis det ska stå p(x)=x^2-x^4. Skrivaren fick ej med minustecknet tyvärr. Men ska integranden se ut såhär?

Ja. Du skall ta reda på vilket värde på t som ger medelvärdet det största värdet.
Smaragdalena skrev:Ja. Du skall ta reda på vilket värde på t som ger medelvärdet det största värdet.
Så långt kom jag.kommer ej längre än såhär.

Hur brukar man göra när man vill ta reda på ett maximivärde?
Smaragdalena skrev:Hur brukar man göra när man vill ta reda på ett maximivärde?
Derivera funktionen och hitta derivatans nollställe ,samt göra teckentabell för att avgöra om det är max eller min.
Då ska vi alltså derivera F(t)?
Då ska vi alltså derivera F(t)?
Nej, funktionen som du har fått fram.