4
svar
114
visningar
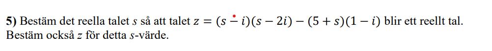
Bestäm det reella talet

Jag är lite osäker om jag har kommit till rätt svar.

Hej.
Du har gjort ett par smärre fel.
Kontrollera följande

I din första förenkling ska det bli:
z = s2 - s - 2si -5i -7
Jag vågar aldrig multiplicera ihop två parenteser OCH byta tecken i samma steg, jag vet att det alldeles för ofta blir fel då! Så -(5+s)(1-i) => -(5-5i+s-is) => -5+5i-s+is.
Tack för alla kommentarer! Jag har gjort flera justeringar i mitt svar. Hoppas att det rätt nu:
