1
svar
141
visningar
fysik3 behöver inte mer hjälp
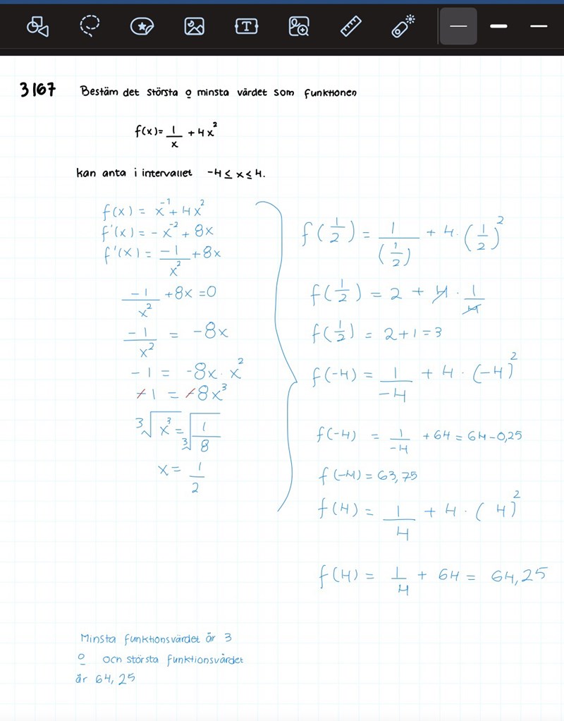
Bestäm det största och minsta värde som funktionen f(x)=1/x +4x^2 kan anta i intervallet -4x ≤x ≤4

Men i facit atår det att: Báde största och minsta värde saknas.
fattar inte, jag kontrollerar även med grafritare

och ser att det finns ett minimivärde. har jag missuppfattat något?
Hej.
Ja, det finns en lokalt minimipunkt.
Men det som efterfrågas är eventuella största och minsta vörden i intervallet.
Om du tittar på den vänstra delen av grafen så ser du att den sticker iväg neråt mot minus oändligheten då x närmar sig 0 från vänster.
Det innebär att funktionen saknar ett minsta värde I intervallet.