Bestäm ekvationen för en tangent till grafen
Hej! Jag har haft lite problem med att lösa uppgifter där man ska hitta en tangent till en graf då jag känner att jag saknar förkunskaper från matte 3.
Här är ett exempel på en fråga
k-värdet till tangenten får jag till eftersom det har derivatan
för att ta reda på var tangenten tangerar grafen tog jag ta reda på vid vilket x-värde som grafens derivata är
för at få y-värdet stoppade jag sedan in x-värdet i grafens ekvation
sedan vet jag inte hur jag ska fortsätta för att få fram hela svaret
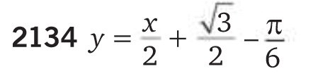
Jag är mycket tacksam för svar! infogar facit nedan

En tangent skall skrivas med hjälp av räta linjens ekvation, y= kx+m.
Du vet om att eftersom att lutningen är måste k vara lika med .
Du vet även om att då så är .
Om du stoppar in detta så får du ett uttryck för att lösa ut m:
Se till att lära dig Ma3 innan du ger dig på Ma4, annars kommer du att få en väldigt jobbig tid!
Jag har tidigare läst ma3c år 2020 och fått godkänt, men nu läser jag ma4 och jag har hittills presterat betydligt bättre i matte än vad jag har gjort på flera år. Det är mer kämpigt eftersom jag har lite bristande förkunskaper, men jag kämpar på och jag är väldigt tacksam över att jag har folk som hjälper mig på traven! :)
ellensapius skrev:
jag känner att jag saknar förkunskaper från matte 3.
Så som du skrev trodde jag att du aldrig hade läst Ma3 - bra att det inte var så. Mitt tips: Lägg lite tid på att läsa igenom Ma3 exempelvis på matteboken.se och kolla vad du kommer ihåg och inte kommer ihåg, och repetera det som du märker att du behöver! Det sparar du tid på idet långa loppet.