"Bestäm ekvationen för tangenten till kurvan 𝑦=4𝑥−𝑒^x i punkten 𝑥=0. "
Hej, som rubriken lyder!
Kurvan är alltså y=4x-ex och jag ska alltså bestämma tangenten i punkten x = 0
Jag vill gärna kolla med någon kunnig som kan bekräfta att jag faktiskt gör på rätt vis.
Jag börjar i alla fall med att kolla lutningen i punkten först, eller k-värdet. Det gör jag genom att derivera funktionen och sedan sätta in F'(0).
D(4x-ex) = 4-ex. F'(0) = 4-e0 = 4-1 = 3.
Lutningen är alltså 3.
Nu behöver jag bara hitta mitt m-värde också, så har jag min räta linjens ekvation! Detta gör jag genom att stoppa in mitt x-värde i den funktionen innan jag deriverade för att få ut mitt y-värde, som jag sedan kan stoppa in i räta linjens funktion för att bryta ut m.
Det blir alltså: f(0) = 4(0)-e0 = 0-1 = -1.
Y-värdet där x = 0 ä alltså -1, (0,-1)
Då blir det alltså -1=3(0)+m = -1
m = -1
y = 3x-1.
När jag kollar facit för denna uppgiften dock så står det "y(0) = 4*0-e0 = -1 (0,1)"
Så uppenbarligen måste jag ju missa något..
Tack!
Du har gjort helt rätt vad jag kan se, och y = 3x - 1 är rätt svar. Tycker facit att svaret är "y(0) = -1"? Det är ju bara beräkningen av m-värdet, inte hela ekvationen som man frågar efter.
Skaft skrev:Du har gjort helt rätt vad jag kan se, och y = 3x - 1 är rätt svar. Tycker facit att svaret är "y(0) = -1"? Det är ju bara beräkningen av m-värdet, inte hela ekvationen som man frågar efter.
Jaha det är så alltså? Nej facit säger inte så, eller det är en gammal tentauppgift som jag kollar på.. Men dom räknar utifrån att y(0)=-1 och sedan utgår dom att koordinaterna för punkten är (0,1)
Det leder till att dom får ett annat värde i y=kx+m genom 1 = 3*0+m så att dom får m-värdet till 1, istället för -1 som jag fick det till..
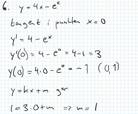
Jag bifogar en bild av deras uträkning:
Om du har skrivit av rätt så har facit tappat bort ett minustecken när de skriver punkten som koordinater. De har ju helt riktigt kommit fram till att y(0) = -1, men sedan klantar de sig.
tips: I matematik, skriv aldrig Y när du menar y, inte ens i början av en mening (formulera helst om meningen). I matematik är y(x) och Y(x) två olika funktioner.
Smaragdalena skrev:Om du har skrivit av rätt så har facit tappat bort ett minustecken när de skriver punkten som koordinater. De har ju helt riktigt kommit fram till att y(0) = -1, men sedan klantar de sig.
tips: I matematik, skriv aldrig Y när du menar y, inte ens i början av en mening (formulera helst om meningen). I matematik är y(x) och Y(x) två olika funktioner.
Något fel när jag har skrivit av uppgiften har det inte blivit! Och ja okej, det händer väl såna misstag!
Och absolut, ska tänka på det hädanefter när jag skapar en ny tråd!
Tack!