Bestäm en ekv för tangenten till kurvan y=ln(cos(x))
hej!
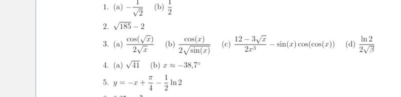
Varför kan man ej förenkla ln(sqrt(2)/2) till 1/2*ln(2)-ln(2)? svaret blir ju y=-x+pi/4

Vad menar du med "svaret blir ju"? Säger facit det?
Laguna skrev:Vad menar du med "svaret blir ju"? Säger facit det?
Jag menar att mitt svar skulle bli så,men facit har ej det svaret utan svarar såhär istället som jag svarade i bilden ( utan att förenkla ln divisonen). Jag ser att de har negativ tecken på ln och det ej är samma uttryck som min ln. Se bild.

Ditt svar (alltså termen som innehåller ln)går att utveckla vidare:
Alternativt ser man direkt att
Ture skrev:Ditt svar (alltså termen som innehåller ln)går att utveckla vidare:
Alternativt ser man direkt att
Tack då förstår jag! Jag gjorde fel innan och trodde när man skrev 1/2 *ln(2)-ln(2)=1/2*ln(2/2)=1/2*ln(1)=1/2*0.