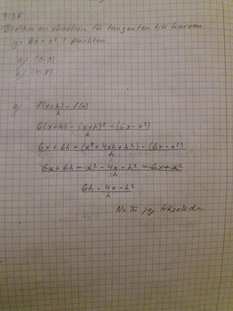
Bestäm en ekvation


Det gäller att
och att
därför är
Det här var jag osäker på, hur man skulle ställa uttrycket.
Ok, jag ska försöka lösa det här.
Hej
Du missar på kvadreringsregeln
Edit: Ett tips om du inte kan stryka i nämnaren så har du gjort fel någonstans.
Fel 1: Felaktig användning av kavdreringsregeln (rödmarkerat)
Fel 2: Tappat bort ett h (blåmarkerat)

Päivi skrev :
Nej nu är det rätt.
Glöm inte bort följande jätteviktiga detalj.
Sen vill du att
Facit säger
y= 6x
jonis10 skrev :Sen vill du att
Jag har ännu inte kommit till limmet.
Päivi skrev :Facit säger
y= 6x
Nu har du beräknat k-värdet för den sekant som går genom (x, f(x)) och (x + h, f(x + h)). Men det är väl inte frågan, eller hur? Så du är inte färdig ännu.
Steg 1: Beräkna tangentens lutning k.
Steg 2: Bestäm tangentens m-värde och skriv tangentens ekvation på formen y = kx + m.
A uppgiften är inte färdig.
Du är inte färdig med a ännu. Ta det lugnt nu och se till så att du verkligen är med på vad du räknar på. Så gå tillbaka till a uppgiften.
Du har beräknat k-värdet för den sekant som går genom punkten (x, f(x)) och (x + h, f(x + h)). Om vi nu väljer x = 0, så får vi att denna sekant har k-värdet.
Nu låter du h bli mindre och mindre och mindre. Så då får du bara kvar. Detta är därför k-värdet för tangenten som går genom punkten (0, f(0)). Så tangenten är på formen
Nu måste du bestämma m.
m=0
y= 6x
Ja precis!
Testa om du klarar b) också
Bra, det är rätt.
Men skriv gärna ut fler räknesteg på vägen så blir det enklare både för oss och för dig att följa tankegångarna och hitta ev. slarvfel.
Hur menar du nu,Yngve
y=kx + m
Kan man inte skriva fler steg.
Päivi skrev :Hur menar du nu,Yngve?
Visa hur du beräknar k.
Beskriv att du använder punkten (4; 8) för att bestämma m.
Vilken uppgift menar du, Yngve nu?
6-2x-h
Jag har tagit -2x som k värdet.
y= kx+ m. Koordinaterna. ( 4:8)
8= -2 gånger 4 + m
8= -8+ m
8+ 8= m
16= m
y= -2x + 16
Päivi skrev :6-2x-h
Jag har tagit -2x som k värdet.
Nej k-värdet för tangenten i punkten (x; 6x-x^2) är 6-2x.
Jag antar att du istället menar att k-värdet är -2 i punkten (4; 8). Men då bör du visa den uträkningen.
y= kx+ m. Koordinaterna. ( 4:8)
8= -2 gånger 4 + m
8= -8+ m
8+ 8= m
16= m
y= -2x + 16
När man läser din lösning så undrar man hur du kom fram till att -2 är k-värdet (notera att enbart -2 är k-värdet inte -2x med ett x.)
Stokastisk skrev :När man läser din lösning så undrar man hur du kom fram till att -2 är k-värdet (notera att enbart -2 är k-värdet inte -2x med ett x.)
När jag såg - 2x, då begrep jag att 2 är k värdet.
Du kan inte kolla på -2x i uttrycket 6 - 2x och dra slutsatsen att k-värdet är -2.
Tangentens k-värde som går genom punkten (x, f(x)) är 6 - 2x. Notera här att 6 - 2x inte är tangenten, utan det är ett uttryck för tangentens k-värde.
Du söker k-värdet för tangenten som går genom (4, f(4)).
Päivi skrev :
Ja, det där är rätt. Men:
1) Det är mycket kortfattat skrivet, utan att du förklarar vad du gör.
2) Fjorton minuter tidigare skrev du förra inlägget, där du beskriver en felaktig uppfattning (som av en händelse också råkar ge lutningen -2). Utan någon kommentar gör du nu en helt annan, riktig, lösning. Är du med på att förra inlägget var helt fel och att detta nu är helt rätt?
Ja, det är jag, Bubo!
Päivi skrev :När jag såg - 2x, då begrep jag att 2 är k värdet.
Hur begrep du det?
(Och för övrigt är ju inte k-värdet 2 utan -2).
Det var ju så jag menade fast jag glömde nu minus tecknet framför. Jag är van att se där det står x att det kan vara k värdet, om nu sådant frågas efter. Det var min slutsats med en gång.
Päivi skrev :Det var ju så jag menade fast jag glömde nu minus tecknet framför. Jag är van att se där det står x att det kan vara k värdet, om nu sådant frågas efter. Det var min slutsats med en gång.
Ja och det var ju fel. Då skulle ju tangentens k-värde vara lika med -2 även i punkten (0; 0). Och i alla andra punkter på kurvan.
Vilken tur då att jag frågade extra om detta.
Nu är det skrivet så
f' (x)=6-2x
6-2* 4
6-8
=-2
Y= kx + m
8= -2 *4 + m
8+8=m
16=m
y= -2x+16
Päivi skrev :Nu är det skrivet så
f' (x)=6-2x
6-2* 4
6-8
=-2
Y= kx + m
8= -2 *4 + m
8+8=m
16=m
y= -2x+16
OK bra. Nu saknar jag bara att du beskriver att du använder punkten (4; 8) för att bestämma m.
(4:8)
det som står nu till vänster är ju x värdet och det som står om höger är ju y-värdet.
Det står ju att
y= kx+ m
När vi har hittat k-värdet. Det k värdet ska vi multiplicera med x koordinaten. Y värdet sätts alltid vänster åt lika med tecknet som detta fall är 8.
När vi har multiplicerar k värdet med x koordinaten kommer vi flytta den över lika med tecknet alltså till vänster om den. Nu fick jag addera eftersom vi hade minus tecknet före 2. När man flyttar över den byts det automatiskt tecknet. Det blev positivt den här gången.
Päivi skrev :(4:8)
det som står nu till vänster är ju x värdet och det som står om höger är ju y-värdet.
Det står ju att
y= kx+ m
När vi har hittat k-värdet. Det k värdet ska vi multiplicera med x koordinaten. Y värdet sätts alltid vänster åt lika med tecknet som detta fall är 8.
När vi har multiplicerar k värdet med x koordinaten kommer vi flytta den över lika med tecknet alltså till vänster om den. Nu fick jag addera eftersom vi hade minus tecknet före 2. När man flyttar över den byts det automatiskt tecknet. Det blev positivt den här gången.
Ja oj nu blev det mycket text. Jag tror du missförstår vad jag är ute efter.
Jag visar istället med ett exempel hur en väl beskriven lösming kan se ut:
-----------
Kurvan har en tangent i punkten . Bestäm ekvationen för denna tangent.
Tangentens ekvation kan skrivas .
Vi behöver alltså bestämma lutningen k och m-värdet.
Lutningen k är lika med derivatans värde i tangeringspunkten .
Derivatan i punkten kan skrivas enligt a-uppgiften.
Alltså är derivatans värde då lika med . Dvs .
Vi har alltså att
Detta samband gäller för alla punkter på tangenten, alltså även för tangeringspunkten .
Det betyder att sambandet gäller. Dvs , dvs .
Vi har nu bestämt både k och m och kan då skriva tangentens ekvation som .
-----------------
Tack så mycket för detta!




