Bestäm en ekvation för de plan som innehåller linjerna
Tjena pluggakuten:

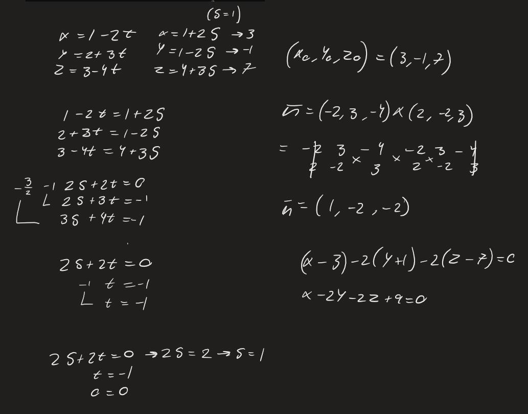
Jag har löst uppgiften, se bild nedan (beklagar att den är i så dålig kvalite):

Facit lyder:
Saken är den att de har skrivit planet på parameterform, vilket jag är med på, men jag anser att lösa den på normalform också är korrekt.
Jag fick ekvationen på normalform till x-2y-2z+9=0, detta genom att ta vektorprodukten av riktningslinjerna (t(-2,3,-4) och s(2,-2,3)) och genom att välja en valfri punkt i planet (säg skärningspunkten mellan linjerna (3,-1,7). Jag sätter därfefter in det i ekvationen för plan på normalform.
Min fråga är om ni också anser att ekvationen x-2y-2z+9=0 är en ekvation för planet, och om jag skriver det på tenta, kommer jag få poäng för det?
Tack på förhand!
Att skriva planet på normalform är i de flesta fall standard (därav namnet).
Anges det inte i frågan på vilken form du ska svara så skulle jag påstå att det är säkrare att svara på normalform än på parameterform. Är du osäker kan du svara på båda sätten :)
Calle_K skrev:Att skriva planet på normalform är i de flesta fall standard (därav namnet).
Anges det inte i frågan på vilken form du ska svara så skulle jag påstå att det är säkrare att svara på normalform än på parameterform. Är du osäker kan du svara på båda sätten :)
Okej tack så mycket!