Bestäm en ekvation för det plan som innehåller en linje samt parallel med en annan linje


Hej, jag tror att jag vet hur jag får ett plan som innehåller linjen men är lite osäker hur jag kan få planet att vara parallel med den andra linjen... eller jo... jag gissade att jag skulle kunna ta en vektor som kan placeras i linje L2 ( jag fick rätt svar) men jag fattar inte logiken till det alls
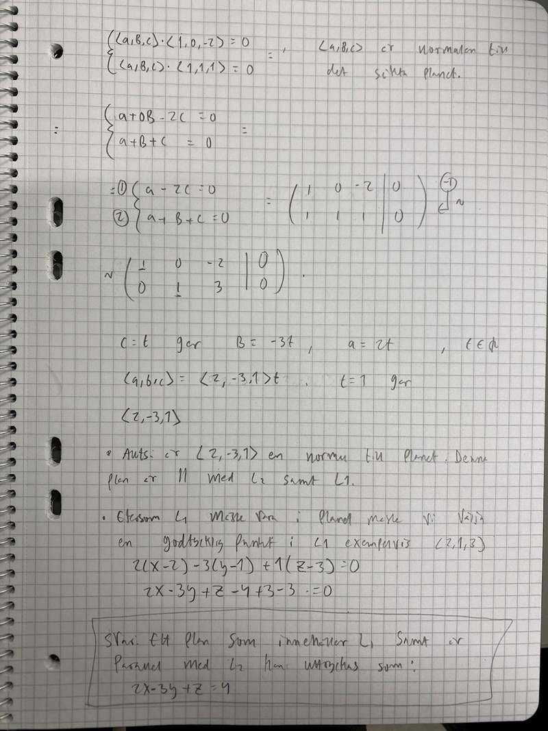
En linje med riktningdvektor (r, s, t) är parallell med ett plan ax+by+cz+d=0 om riktningsvektorn är ortogonal mot planets normalvektor, dvs. om (r, s, t) * (a, b, c) = 0.
Notera att både L1 och L2 ska vara parallella med planet.
För att linjen ska ligga i planet räcker det då att det finns någon punkt på linjen som satisfierar planets ekvation.
Använd ovanstående för att bestämma planets koefficienter.
Gustor skrev:En linje med riktningdvektor (r, s, t) är parallell med ett plan ax+by+cz+d=0 om riktningsvektorn är ortogonal mot planets normalvektor, dvs. om (r, s, t) * (a, b, c) = 0.
Notera att både L1 och L2 ska vara parallella med planet.
För att linjen ska ligga i planet räcker det då att det finns någon punkt på linjen som satisfierar planets ekvation.
Använd ovanstående för att bestämma planets koefficienter.
Hmmm... Vi vet att L1 måste finnas i planet vilket per automatik innebär att det sökta planet är parallel med L1.
Om ett plan är parallel med en linje så måste det betyda att en vektor som kan placeras i linjen är ortogonal mot normalvektorn till planet...
Jag löste uppgiften via ditt tankesätt och fick rätt svar:

Jag fattar även ditt resonemang, tack! Men jag försökte tackla problemet genom att först skriva upp parameterframställningen till planet… jag fattar inte hur det kommer sig att om jag låter vetorn v i min första bild vara en riktningsvektor i L2, så får jag även då korrekt svar…. Jag tror jag har svårt att föreställa mig hur de vektorerna spänner upp planet
Du kan parametrisera ett plan som punkterna ra + sb + c, där a och b är två vektorer parallella med planet, och r, s parametrar. Punkten c ligger i planet, så detta beskriver alla punkter vi kan nå från c genom att gå längs a och b. Vi känner igen det som definitionen av ett plan som spannet av två vektorer. Vektorerna a och b är liksom riktningsvektorerna för linjerna, de motsvarar bara en viss riktning (förflyttning) i rummet, inte en given position (punkt i rummet). Därför spelar det ingen roll om L2 ligger i planet eller inte.
Gustor skrev:Du kan parametrisera ett plan som punkterna ra + sb + c, där a och b är två vektorer parallella med planet, och r, s parametrar. Punkten c ligger i planet, så detta beskriver alla punkter vi kan nå från c genom att gå längs a och b. Vi känner igen det som definitionen av ett plan som spannet av två vektorer. Vektorerna a och b är liksom riktningsvektorerna för linjerna, de motsvarar bara en viss riktning (förflyttning) i rummet, inte en given position (punkt i rummet). Därför spelar det ingen roll om L2 ligger i planet eller inte.
Tack!