Bestäm en ekvation för linjen (en tidigare fråga från Pluggakuten)
Hej! Jag undrar vad ursprungsfrågan är? Det står ”-3xi” vad ska det istället stå?
Det ska vara ett mellanslag mellan x och i.
”Bestäm en ekvation för linjen som tangerar kurvan y=cos(pi-2x)-3x i punkten där x=pi/4 ”
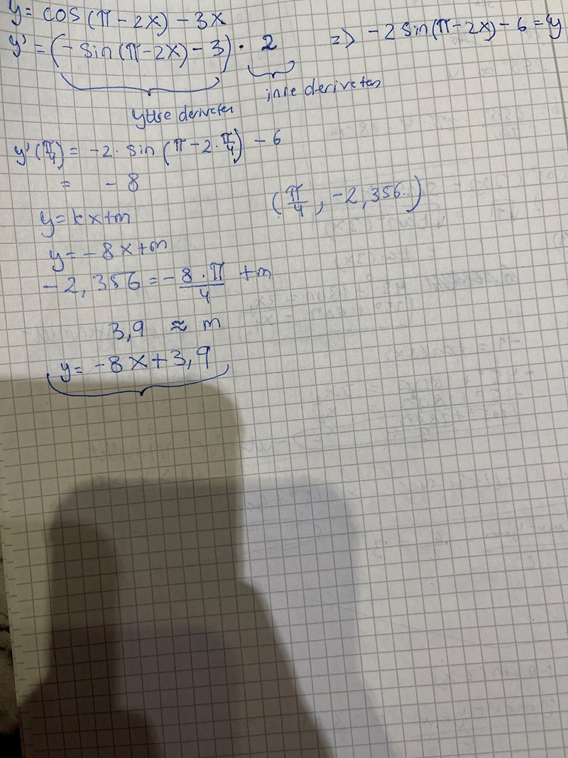
Är det rätt att lösa frågan så här :

Nej, derivatan blir fel.
Derivatan av en summa är lika med summan av derivatorna. Du ska alltså derivera summan term för term.
Jag förstår inte varför derivatan blir fel? Jag förstår inte heller vad du menar med ”Derivatan av en summa är lika med summan av derivatorna. Du ska alltså derivera summan term för term.”
Exempel: Derivatan av x3 + x2 är lika med derivatan av x3 plus derivatan av x2, dvs 3x2 + 2x.
Är du med på det?
Förklara gärna hur jag istället borde ha tänkt
Yngve skrev:Exempel: Derivatan av x3 + x2 är lika med derivatan av x3 plus derivatan av x2, dvs 3x2 + 2x.
Är du med på det?
Menar du att jag måste derivera varje term för sig. Dvs 3x2 + 2x . Har cos (pi-2x) en inre funktion? Om den inte har så undrar jag varför?
Ja, du ska derivera varje term för sig.
Derivera alltså cos(pi-2x) för sig och 3x för sig.
Okej. Derivatan av cos(pi-2x) är
-sin(pi-2x) *2 = -2sin(pi-2x)
derivatan av 3x är 3. Alltså blir derivatan
-2sin(pi-2x)-3 =f’(x)
Nästan. Inre derivatan är -2, inte 2.
Derivatan av f(x)=cos(pi-2x) -3x
cos(pi-2x)
-sin(pi-2x) * (-2) = 2sin(pi-2x)
YTTRE INRE (derivata)
Derivatan av 3x = 3
alltså blir f’(x)=2sin(pi-2x)-3
f’(pi/4) = 2
y=2x+m
jag sätter in punkten (pi/4 ; -2,356)
vilket ger mig
-2,356= 2*(pi/4) +m
m~ (-3.9)
Nu är derivatan rätt, men uträkningen är fel.
Använd metoden med ett A4-papper för att hitta felet.
Jag insåg själv att metoden är fel. Jag gjorde en ny uträkning för min miniräknare var inställd i grader istället för radianer
——
alltså blir f’(x)=2sin(pi-2x)-3
f’(pi/4) = 2
y=2x+m
jag sätter in punkten (pi/4 ; -2,356)
vilket ger mig
-2,356= 2*(pi/4) +m
m~ (-3.9)
Uträkningen av f'(pi/4) är fortfarande fel. Det ska vara -1
Kanske räknar du för snabbt, kanske gör du för stora tankesteg, kanske slår du in fel på räknaren.
Skriv upp uträkningen på ett papper i små små steg.
Om du fortfarande får ett annat resultat än -1 så bör du kontrollera dina uträkningar med hjälp av "A4-metoden".

Hur kan jag kontrollera svaret?
EDIT.
Jag har nu kontrollerat mitt svar mha pappersmetoden
Fick det här svaret
1. Låt talen vara i bråkform, lättare att hantera då.
2. Du fick k=1. Ok.
3. Du har nu -3pi/4=-pi/4+m. m är alltså negativt, inte positivt.
m=-2pi/4
y=-x+(-pi/2)=> y=-x-pi/2
Ja!
Soderstrom skrev:1. Låt talen vara i bråkform, lättare att hantera då.
2. Du fick k=1. Ok.
3. Du har nu -3pi/4=-pi/4+m. m är alltså negativt, inte positivt.
Hur får du y till att bli -3pi/4?
Katarina149 skrev:
Hur får du y till att bli -3pi/4?
Vad får du själv y till när x = pi/4?
Om du får något annat än -3pi/4 så kanske du räknar för snabbt, kanske du gör för stora tankesteg, kanske du slår in fel på räknaren.
Skriv då upp uträkningen på ett papper i små små steg.
Om du fortfarande får ett annat resultat än -3pi/4 så bör du kontrollera dina uträkningar med hjälp av "A4-metoden".
Jag gjorde uträkningen om ca 5 gånger tills det blev helt rätt. Så jag känner mig inte riktigt nöjd innan jag får göra en liknande uppgift som testar samma kunskaper. Yngve har du möjlighet att skriva / eller om du känner till en uppgift på nätet skriva ner den här så kan jag lösa den. Vill vara 100% på att jag inte gör fel…
Det du gjorde fel på nyss var att du inte fick fram att y = -3pi/4 då x = pi/4.
Det var den uträkningen jag ville att du skulle kolla.
Men nu får du alltså till det?
Hur menar du? Jag förstår inte vad du menar
Jag trodde att du hade problem att beräkna y då x var pi/4, men jag kanske hade fel.
Katarina149 skrev:
Jag gjorde uträkningen om ca 5 gånger tills det blev helt rätt. Så jag känner mig inte riktigt nöjd innan jag får göra en liknande uppgift som testar samma kunskaper. Yngve har du möjlighet att skriva / eller om du känner till en uppgift på nätet skriva ner den här så kan jag lösa den. Vill vara 100% på att jag inte gör fel…
Men är lösningen rätt på bilden?
Ja den är rätt.