Bestäm en funktion vars fouriertransform är lika med f(w)

Hej!
Jag fastnade på uppgift 4b. Hur ska man börja?
I uppgiften 4b söker man .
Utnyttja sambandet mellan fouriertransformen och inversa fouriertransformen. Det gäller ganska allmänt att .
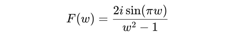
Funktionen beräknades i 4a.
LuMa07 skrev:I uppgiften 4b söker man .
Utnyttja sambandet mellan fouriertransformen och inversa fouriertransformen. Det gäller ganska allmänt att .
Funktionen beräknades i 4a.
Vi vet att F(w) är detta nedan. Så dess invers är väl bara samma fast utbytt med argumentet x? Om inte kan man utnyttja F[F[f](x)=1/2pif(-x)

destiny99 skrev:Vi vet att F(w) är detta nedan. Så dess invers är väl bara samma fast utbytt med argumentet x?
Ja, fast det är -x som sätts in.
Om inte kan man utnyttja F[F[f](x)=1/2pif(-x)
Detta funkar också - man får samma slutsats. Man söker nämligen funktionen sådan att
.
När tillämpas på båda sidorna av denna likhet, så fås sambandet
vilket ger (genom att sätta ) att
LuMa07 skrev:destiny99 skrev:Vi vet att F(w) är detta nedan. Så dess invers är väl bara samma fast utbytt med argumentet x?
Ja, fast det är -x som sätts in.
Om inte kan man utnyttja F[F[f](x)=1/2pif(-x)
Detta funkar också - man får samma slutsats. Man söker nämligen funktionen sådan att
.
När tillämpas på båda sidorna av denna likhet, så fås sambandet
vilket ger (genom att sätta ) att

Jag har svårt att hänga med på denna rad. Sen förstår jag inte varför du inte kan ha samma variabler hela vägen och behålla x istället för att byta till t. Det blir läsbart och förståelig för mig.
Vad är det som är svårt, egentligen?
Startpunkt: Söker så att .
Fouriertransformera båda leden i likheten , vilket ger att , d.v.s.
Man kan säkert skriva variabeln istället för hjälpvariabeln i denna rad, men det kan bli lite otydlig notation eftersom variabeln redan står innanför i inre fouriertransformen:
Symbolen innanför inre Fouriertransformen skulle alltså betyda något annat än för yttre fouriertransformen. För att slippa en sådan tvetydighet hos symbolen , så kan man helt enkelt skriva i inre fouriertransformen utan någon variabel och låta det vara underförstått vad som menas med det:
eller inte alls skriva ut variabler inuti fouriertransformerna:
där HL beräknats i deluppgiften 4a, d.v.s.
Nu får man tänka på att . Det är dock g(x) (och inte g(-x)) som man vill ta fram. Syftet med att använda sig av en hjälpvariabel är att undvika onödiga teckenfel eftersom man annars behöver byta ut -x mot x i likheten man fått.
Vill du utnyttja räknelagen "F[F[f](x)=1/2pif(-x)" som du själv nämnt i #3 på något annat sätt, så får du jättegärna göra det, det funkar säkert också bra.