Bestäm en lösning u(x,y) till laplace ekvation




Hej!
Jag är lite fast på denna uppgift eftersom fall 3 liknar fall 2 förutom att det är -k^2 så jag tog ej med den delen med risk att det liknar samma lösning som fall 2. Jag vet inte om man ska göra det ? Sen får jag att u(x,y)=0 (trivial lösning) mha de givna randvillkoren. Hur ska jag använda mig av begynnelsevillkoren för att komma fram till en lösning på u(x,y)? Jag är ganska osäker på mina svar i begynnelsevillkoren
Du får ju en lösning för varje värde på n. Den generella lösningen är en linjärkombination av alla lösningar för alla möjliga värden på lambda.
PATENTERAMERA skrev:Du får ju en lösning för varje värde på n. Den generella lösningen är en linjärkombination av alla lösningar för alla möjliga värden på lambda.
Men i vilket steg ska jag fortsätta här eller vad ska jag göra?
Efter att utnyttjat randvillkoren vid x = 0 och pi så har vi typ att (dubbelkolla)
.
Sedan utnyttjar vi de övriga randvillkoren för att bestämma konstanterna.
Kan det vara en väg framåt?
PATENTERAMERA skrev:Efter att utnyttjat randvillkoren vid x = 0 och pi så har vi typ att (dubbelkolla)
.
Sedan utnyttjar vi de övriga randvillkoren för att bestämma konstanterna.
Kan det vara en väg framåt?
Jag ser inte hur du har gjort från mina lösningar. Hade hoppats att du hade läst igenom hela min lösning i #1 och pekat på var jag ska korrigera eller lösa osv. Jag har liksom denna funktion enligt bilden nedan och det liknar inte alls det du har fått. Jag vet inte vad jag har missat. Se bild:

Först, om du kommer fram till att k=n, så måste du sätta k=n överallt.
Sedan får du en lösning för varje n = 1, 2, 3,… . Den generella lösningen blir en superposition av alla dessa lösningar.
PATENTERAMERA skrev:Först, om du kommer fram till att k=n, så måste du sätta k=n överallt.
Sedan får du en lösning för varje n = 1, 2, 3,… . Den generella lösningen blir en superposition av alla dessa lösningar.
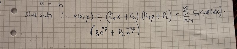
Du menar att jag borde ha skrivit: u(x,y)=C1cos(nx)(D1e^ny+D2e^-ny)? Det här med superposition så vet jag inte hur man ska bilda den så att vi får en generell lösning.
Tänk på att dina koefficienter kan ha olika värden för olika n. Och att du kan superponera lösningarna.
Du får därför en summa .
Sedan måste du lägga till din lösning för lambda = 0.
PATENTERAMERA skrev:Tänk på att dina koefficienter kan ha olika värden för olika n. Och att du kan superponera lösningarna.
Du får därför en summa .
Sedan måste du lägga till din lösning för lambda = 0.
Men ska man skriva då som u(x,y)=C1 summa cosnx(D1e^nx+D2e^-nx) där n=1 till inf?jag tror inte jag är med på hur du menar riktigt. Varför ska man lägga till en lösning för lambda=0 ? Jag visade ju tidigare att u(x,y)=0 pga randvillkoren.
För lamda = 0 får du väl u(x, y) = Ay + B, eller något sådant. Bör du inte ta med det lösningsalternativet i din generella lösning?
Som sagt, du kan ha olika värden på dina koefficienter för olika värden på n. Att ha samma koefficienter för alla värden på n är en onödig begränsning som du bör undvika.
PATENTERAMERA skrev:För lamda = 0 får du väl u(x, y) = Ay + B, eller något sådant. Bör du inte ta med det lösningsalternativet i din generella lösning?
Som sagt, du kan ha olika värden på dina koefficienter för olika värden på n. Att ha samma koefficienter för alla värden på n är en onödig begränsning som du bör undvika.
Jag trodde inte att man skulle ta med ens fallet med lambda=0 i den generella lösning när man använt sig av randvillkoren och dragit slutsats av att u(x,y)=0 för konstanterna blir ju 0. Jag kanske har missförstått detta.
Ja alltså jag har samma koffiecenter oberoende av vad n ska bli. Varför ska man byta koefficienter för varje n? Det är väldigt förvirrande.
För lamda = 0 får du
X(x) = ?
Y(y) = ?
u(x, y) = X(x)Y(y) = ?
PATENTERAMERA skrev:För lamda = 0 får du
X(x) = ?
Y(y) = ?
u(x, y) = X(x)Y(y) = ?
Såhär får jag i alla fall när jag tar med fallet lambda=0 i den generella lösning. Vad ska man göra nu?

Någon?
I facit så kom de fram till att n=0 ger A0=1/2. Varför tittar man på n=0?
Du får nog visa facit, annars är det nog knepigt att svara.