2
svar
139
visningar
destiny99 behöver inte mer hjälp
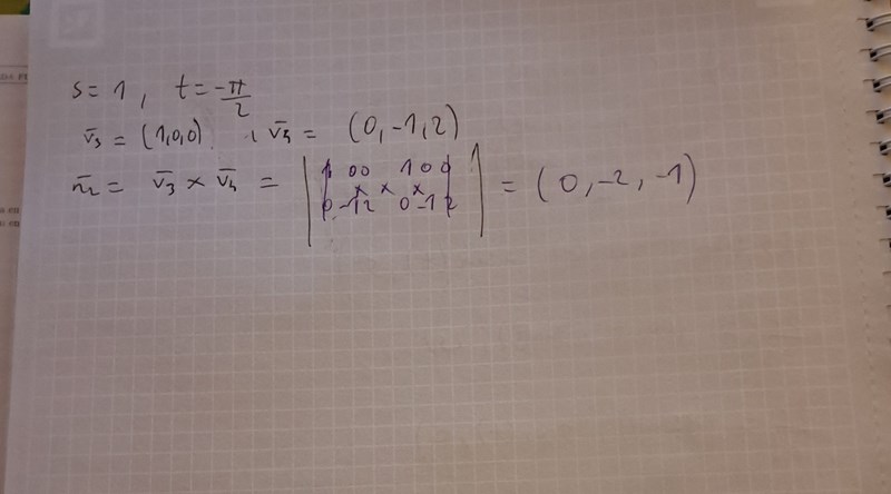
Bestäm en normalriktning i P till ytan



Hej!
Facit får det till (0,2,-1) medan jag får två st normalvektorer enligt kryssprodukten i mina beräkningar.
Det ser ut som du låter anta att negativt värde, tänk på att de säger i uppgiften att
D4NIEL skrev:Det ser ut som du låter anta att negativt värde, tänk på att de säger i uppgiften att
Ja jag insåg det sen. Tack Daniel!