3 svar
77 visningar
Liiyaah 19
Postad: 2 okt 2023 19:56

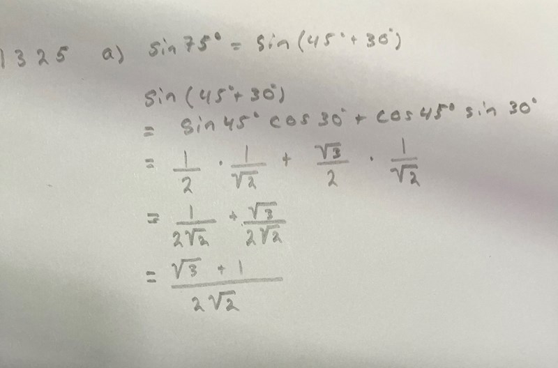
Bestäm ett exakt värde på sin 75 grader

God kväll på er.

 

Jag verkar ha fastnat på en uppgift och har ingen aning om vad det är jag gör för fel. Hoppas att det är ok att jag laddar upp en bild på min lösning. 
Önskar er en trevlig kväll 

Judit 492
Postad: 2 okt 2023 20:10 Redigerad: 2 okt 2023 20:11

Hej!

Du verkar ha kommit fram till ett svar. Det är inte fel. Möjligtvis kan man förenkla det lite, men inte mycket:

3+122=(3+1)·222·2=6+24

Detta kan anses vara ett något "snyggare" sätt att svara, men egentligen är det samma sak.

Liiyaah 19
Postad: 3 okt 2023 10:28

känner mig så dum som inte gjorde den kopplingen. Tack så mycket för hjälpen 

Judit 492
Postad: 3 okt 2023 12:47

Inget skäl att känna sig dum, du löste ju uppgiften själv! :)

Svara
Close