8 svar
104 visningar
Katarina149 behöver inte mer hjälp
Katarina149 7151
Postad: 7 mar 2022 18:48

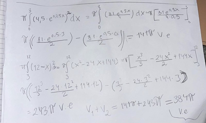
Bestäm ett närmare värde till rotationskroppen


Hej. Jag undrar ifall jag har tänkt rätt

exerin0 3 – Fd. Medlem
Postad: 7 mar 2022 20:15

Ser bra ut!

Yngve 42667
Postad: 7 mar 2022 21:37

Det stämmer.

Rotationskroppen till höger har formen av en kon, så den volymen kan du enklare beräkna med hjälp av V=πr2h3V=\frac{\pi r^2h}{3}.

Katarina149 7151
Postad: 7 mar 2022 21:59

Hur ser du att det kommer bildas en ”kon”?

Yngve 42667
Postad: 7 mar 2022 22:17
Katarina149 skrev:

Hur ser du att det kommer bildas en ”kon”?

Katarina149 7151
Postad: 7 mar 2022 22:19 Redigerad: 7 mar 2022 22:19

Kan du visa med en skiss med hjälp av graferna i koordinatsystemet? För det blev svårt att hänga med hur du ritade konen . Visa gärna stegvist

Yngve 42667
Postad: 7 mar 2022 22:48

Rita själv linjen x = 3, linjen y = 0 och linjen y = 12-x.

Ser du att det område som begränsas av dessa linjer är en rätvinklig triangel?

När du roterar denna triangel ett varv runt x-axeln så bildas en kon, på ett liknande sätt som i din andra uppgift

Katarina149 7151
Postad: 8 mar 2022 00:38 Redigerad: 8 mar 2022 00:39

Jag ser ingen likhet mellan den här uppgiften och den andra...Jag ser inte vart den rätvinkliga triangeln finns i grafen 

Yngve 42667
Postad: 8 mar 2022 07:06

Har du ritat linjerna jag bad dig att rita?

  • Om ja, visa din skiss.
  • Om nej, gör det och visa din skiss.
Svara
Close