Bestäm ett närmevärde


Jag förstår första delen, alltså a) uppgiften. Det är bara ta derivatan av funktionen och lägg in 3 för x. (en liten sidenote här, är exakt 4034,287935, men programmet accepterar bara svaret 4034,288. Det står ingenstans att jag måste ha tre decimaler. Är detta någon konstig regel som jag inte fattar eller är det bara programmet som är oklar?)
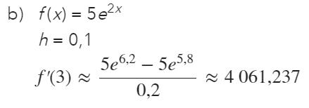
Jag behöver hjälp med nästa fråga, b) uppgiften. Så här gjorde jag:
ger
Detta ger mig samma svar som a) uppgiften. Har jag gjort något fel? Det här är vad NOKflex säger att de fick.

Här är jag helt lost. Fattar inte alls vad de gjorde där med exponenterna. Kunde någon prata mig igenom denna problem så jag förstår vad jag har gjort fel?
Tack!
Tompalomp skrev:Det står ingenstans att jag måste ha tre decimaler.
Jo, det står i uppgiftslydelsens första mening:

Tompalomp skrev:Här är jag helt lost. Fattar inte alls vad de gjorde där med exponenterna. Kunde någon prata mig igenom denna problem så jag förstår vad jag har gjort fel?
Du har använt en annan formel än den du enligt uppgiften ska använda, nämligen:

Om h = 0,1 så är 3+h = 3,1 och 3-h = 2,9.
Då är f(3+h) = f(3,1) = 5e2*3,1 = 5e6,2 och f(3-h) = f(2,9) = 5e2*2,9 = 5e5,8.
Blev det klarare då?
Yngve skrev:Tompalomp skrev:Det står ingenstans att jag måste ha tre decimaler.
Jo, det står i uppgiftslydelsens första mening:
Ha! Whoops.
Yngve skrev:Tompalomp skrev:Här är jag helt lost. Fattar inte alls vad de gjorde där med exponenterna. Kunde någon prata mig igenom denna problem så jag förstår vad jag har gjort fel?
Du har använt en annan formel än den du enligt uppgiften ska använda, nämligen:
Om h = 0,1 så är 3+h = 3,1 och 3-h = 2,9.
Då är f(3+h) = f(3,1) = 5e2*3,1 = 5e6,2 och f(3-h) = f(2,9) = 5e2*2,9 = 5e5,8.
Blev det klarare då?
Ja, det blev mycket klarare! Då fattar jag. Jag trodde jag behövde använda
i
Men fattar nu. De är alltså annorlunda formler. Tack för hjälpen!
Bra.
En kommentar: 10e2*3 är inte exakt lika med 4034,287935.
Antalet decimaler är i själva verket oändligt, men din räknare kan bara visa ett begränsat antal siffror och det värde som visas är ett avrundat värde.
Yngve skrev:Bra.
En kommentar: 10e2*3 är inte exakt lika med 4034,287935.
Antalet decimaler är i själva verket oändligt, men din räknare kan bara visa ett begränsat antal siffror och det värde som visas är ett avrundat värde.
Oh okej, tack!