Bestäm ett polynom utifrån vad 4 olika x-värden ger för y-värde
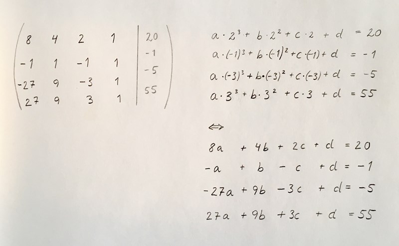
Jag ska bestämma ett polynom f(x) så att
f(2) = 20,
f(-1)=-1,
f(-3)=-5 och
f(3)=55,
och svara på formen
Vilken metod skulle vara bäst att använda?
Jag läser ett kapitel om linjär algebra och matriser, så jag tänker att det kan finnas ett smart sätt att använda matrisräkning till detta eftersom det är arbetsbesparande.
I så fall skulle
20
-1
-5
55
stå i kolonnen längst till höger, på höger sida om strecket som symboliserar likhetstecknet. Men hur ställer jag upp de olika ekvationerna?
Eller går det ens att göra så som jag tänker?
Du kan ju ställa upp fyra ekvationer med hjälp av de fyra kända kombinationerna av x och f(x). Då får du ett ekvationssystem med fyra obekanta. Skriv det i matrisform och lös på vanligt sätt (dvs Gausseliminering)!
Är jag på rätt väg här?
Om man skriver
så kan ekvationssystemet skrivas på matrisform som
vilket ger problemets lösning som vektorn
Uttryckt mer explicit blir lösningen
Tack för detta. Jag har suttit hela kvällen med min Gausseliminering och inte kommit nånvart (bara ibland har jag trott jag varit nära). Jag måste öva mer, lära mig tricksen och fler metoder.
Jag kommer gå tillbaka och titta på det här som ni skriver till mig. Det är till stor hjälp :-)
Lisa Mårtensson skrev:Tack för detta. Jag har suttit hela kvällen med min Gausseliminering och inte kommit nånvart (bara ibland har jag trott jag varit nära). Jag måste öva mer, lära mig tricksen och fler metoder.
Jag kommer gå tillbaka och titta på det här som ni skriver till mig. Det är till stor hjälp :-)
Du har ju ställt upp den rätt från början. Sedan gäller det bara att vara metodisk och se upp med slarvfel!
Du menar att jag kan använda matrisräkning och få enhetsmatrisen till vänster och lösningarna i högerledet i matrisen?
Det ska fungera alltså?
Svårt :-)