16 svar
319 visningar
Marielle98 behöver inte mer hjälp
Marielle98 34 – Fd. Medlem
Postad: 7 nov 2017 13:53

Bestäm ett uttryck för derivatan

Hejsan! Som det står i rubriken så ska jag alltså bestäma ett uttryck för derivatan av:

a) (g(x))^2 + 2

b) (g(x)+2)^2

Har ingen aning om hur jag ska börja på dessa uppgifter...

 

Tacksam för all hjälp!

statement 2255 – Fd. Medlem
Postad: 7 nov 2017 13:56 Redigerad: 7 nov 2017 13:56

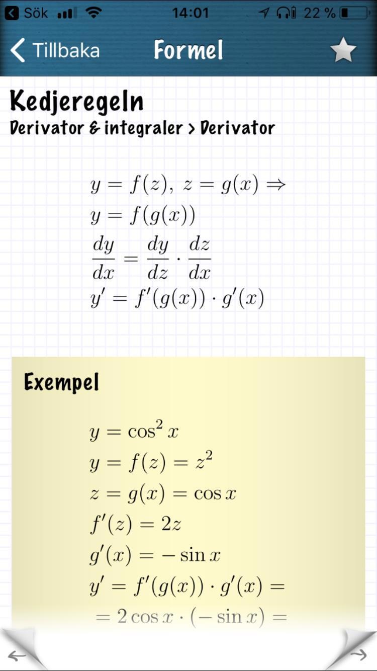
Känmer du till kedjeregeln?

Marielle98 34 – Fd. Medlem
Postad: 7 nov 2017 13:58
statement skrev :

Känmer du till kedjeregeln?

Ja, men jag vet inte riktigt hur det blir

statement 2255 – Fd. Medlem
Postad: 7 nov 2017 14:03

Hur deriverar du följde enligt kedejregeln?

f(g(x))

tomast80 4299
Postad: 7 nov 2017 14:03
Marielle98 skrev :
statement skrev :

Känmer du till kedjeregeln?

Ja, men jag vet inte riktigt hur det blir

Ok. Kan du börja med att skriva uttrycken på formen:

y=f(g(x)) y = f(g(x)) ? Vad blir då f(x) f(x) i de två fallen. Se sedan kedjeregeln nedan:

Marielle98 34 – Fd. Medlem
Postad: 7 nov 2017 14:07
statement skrev :

Hur deriverar du följde enligt kedejregeln?

f(g(x))

f´(g(x)) * g´(x) ?

statement 2255 – Fd. Medlem
Postad: 7 nov 2017 14:28

Rätt.

Om f(g(x)) = (g(x)) ^2  vad är då derivatan?

Marielle98 34 – Fd. Medlem
Postad: 7 nov 2017 14:38
statement skrev :

Rätt.

Om f(g(x)) = (g(x)) ^2  vad är då derivatan?

Får det till 2g2x ?

Stokastisk 3597 – Fd. Medlem
Postad: 7 nov 2017 15:51 Redigerad: 7 nov 2017 15:51

Det där ser lite konstigt ut. Om du har att f(x)=x2+2 f(x) = x^2 + 2 , så har du att f'(x)=2x f'(x) = 2x . Så du får att

f'(g(x))·g'(x)=2g(x)·g'(x) f'(g(x)) \cdot g'(x) = 2g(x) \cdot g'(x) .

Marielle98 34 – Fd. Medlem
Postad: 7 nov 2017 15:54
Stokastisk skrev :

Det där ser lite konstigt ut. Om du har att f(x)=x2+2 f(x) = x^2 + 2 , så har du att f'(x)=2x f'(x) = 2x . Så du får att

f'(g(x))·g'(x)=2g(x)·g'(x) f'(g(x)) \cdot g'(x) = 2g(x) \cdot g'(x) .

Så uttrycket för (g(x))^2 + 2 är 2g(x) * g'(x) ?

Stokastisk 3597 – Fd. Medlem
Postad: 7 nov 2017 16:00 Redigerad: 7 nov 2017 16:00

Ja uttrycket för derivatan av  g(x)2+2 g(x)^2 + 2 är 2g(x)·g'(x) 2g(x) \cdot g'(x) .

Du har ju att om f(x)=x2+2 f(x) = x^2 + 2 så är

g(x)2+2=f(g(x)) g(x)^2 + 2 = f(g(x))

Så deriverar man detta så får man enligt kedjeregeln att derivatan är

f'(g(x))g'(x) f'(g(x))g'(x)

Eftersom f'(x)=2x f'(x) = 2x så är derivatan

2g(x)g'(x) 2g(x) g'(x)

Marielle98 34 – Fd. Medlem
Postad: 7 nov 2017 16:09
Stokastisk skrev :

Ja uttrycket för derivatan av  g(x)2+2 g(x)^2 + 2 är 2g(x)·g'(x) 2g(x) \cdot g'(x) .

Du har ju att om f(x)=x2+2 f(x) = x^2 + 2 så är

g(x)2+2=f(g(x)) g(x)^2 + 2 = f(g(x))

Så deriverar man detta så får man enligt kedjeregeln att derivatan är

f'(g(x))g'(x) f'(g(x))g'(x)

Eftersom f'(x)=2x f'(x) = 2x så är derivatan

2g(x)g'(x) 2g(x) g'(x)

Borde det inte bli liknande på b) ?

(Du får ursäkta min ovanligt mosiga hjärna...)

Stokastisk 3597 – Fd. Medlem
Postad: 7 nov 2017 16:11

Det blir lite annorlunda där, då har du att om man låter f(x)=x2 f(x) = x^2 så har du att

(g(x)+2)2=f(g(x)+2) (g(x) + 2)^2 = f(g(x) + 2)

Kan du nu använda kedjeregeln för att derivera detta?

Marielle98 34 – Fd. Medlem
Postad: 7 nov 2017 16:23
Stokastisk skrev :

Det blir lite annorlunda där, då har du att om man låter f(x)=x2 f(x) = x^2 så har du att

(g(x)+2)2=f(g(x)+2) (g(x) + 2)^2 = f(g(x) + 2)

Kan du nu använda kedjeregeln för att derivera detta?

Jag får att f(g(x)+2) blir f'(g(x)+2) * g'(x) ? Ser inte ut att vara rätt :/

Stokastisk 3597 – Fd. Medlem
Postad: 7 nov 2017 16:26

Det är korrekt, men du kan förenkla det lite mer. Du vet ju att f'(x)=2x f'(x) = 2x , så då kan du använda det för att fortsätta förenkla f'(g(x)+2)g'(x) f'(g(x) + 2) g'(x) .

Marielle98 34 – Fd. Medlem
Postad: 7 nov 2017 16:32
Stokastisk skrev :

Det är korrekt, men du kan förenkla det lite mer. Du vet ju att f'(x)=2x f'(x) = 2x , så då kan du använda det för att fortsätta förenkla f'(g(x)+2)g'(x) f'(g(x) + 2) g'(x) .

Är det 2x * g'(x) ?

Stokastisk 3597 – Fd. Medlem
Postad: 7 nov 2017 16:36

Nej, det gäller att om f'(x)=2x f'(x) = 2x så är f'(g(x)+2)=2(g(x)+2) f'(g(x) + 2) = 2(g(x) + 2) . Därför är derivatan 2(g(x)+2)g'(x) 2(g(x) + 2)g'(x) .

Svara
Close