bestäm exakt värde
Antag att
Bestäm exakt värde på följande uttryck
Nu vet jag inte hur jag ska gå tillväga med detta
Päivi skrev :Antag att
Bestäm exakt värde på följande uttryck
Nu vet jag inte hur jag ska gå tillväga med detta
Något saknas. Vad skulle stå efter "Antag att"?
Nu har du väldigt många trådar med samma rubrik.
Vad är frågan? Det uttryck du har skrivit har ju värdet 0.28
Det står att
antag att cos (2x) = 28 och att 0 till 90 grader . Bestäm exakt värde på följande uttryck
a) cos(x)
b) sin (x)
Det tar ett tag att bli kompis med formeleditorn.
Du råkade nog klicka iväg inlägget utan att avsluta formeleditorn.
Det här handlar om dubbla vinkeln
Jag ska skriva det här på formeleditorn. Det tar liten tid.
Då får du använda formlerna för dubbla vinkeln "baklänges".
Börja med att uttrycka cos(2x) enbart i cos(x) och lös ut cos(x).
Fast nu är det ju cosinus av 2x som är 0.28
Jag har testat många olika sätt, men vet inte, hur jag ska hå tillväga med detta.
Dr. G skrev :Då får du använda formlerna för dubbla vinkeln "baklänges".
Börja med att uttrycka cos(2x) enbart i cos(x) och lös ut cos(x).
Välj en annan av varianterna av "cosinus för dubbla vinkeln" än den du valde, den som bara innehåller cos x och konstanter.
Du har att
cos(2x) = 0.28
Det du har i VL alltså.
VL, men det finns inget
Päivi skrev :
Fast nu är det ju cosinus av 2x som är 0.28
Hur löser du
0.28 = 2*t^2 - 1
?
t = ...
0.28= 2t(t-1)
2t(t -1)/ 0.28
Päivi skrev :0.28= 2t(t-1)
2t(t -1)/ 0.28
Ditt HL är inte samma som det HL Dr. G skrev.
Ditt HL = 2t(t-1) = 2t^2 - 2t
Dr. G HL = 2*t^2 - 1
De är inte identiska.
Och din andra rad är ett uttryck, ingen ekvation.
Jag skriver från dator.
Strunt i det, vi börjar om från början.
Du vet att cos(2x) = 0,8
Du vet även att cos(2x) = 2cos^2(x) - 1
Det betyder att
0,8 = 2cos^2(x) - 1
Detta är den ekvation du ska lösa.
Gör som du brukar med ekvationer och försök att få cos^2(x) ensamt på ena sidan till att börja med.
Nu hade jag tagit bort den första.
Jag ska skriva den tillbaka.
Du vet att cos(2x) = 0,28 och vill ta reda på cos x. Du vet också att . Om du kallar cos x för t kan du skriva att . Detta är en andragradsekvation som du kan lösa t ex med pq-formeln. Då får du fram två olika värden på t, d v s två olika värden på cos x, men du vet också att 0 < x < 90 grader, så du vet att cos x skall vara positivt (och mellan 0 och 1).
Vänta lite grann. Jag måste skriva tillbaka son nu fattas.
Rot tecknet fick jag inte fram över -1
Det här stämmer inte Päivi.
Kan du berätta för mig HUR du har kontrollerat att rad 2 säger samma sak som rad 1?

Jag hittade på något och lika med den andra.
Päivi skrev :Jag hittade på något och lika med den andra.
Du hittade alltså på att är samma samma sak som ?
Det är OK att "hitta på något" och att pröva sig fram, men då är det superviktigt att du kontrollerar att det du hittade på verkligen stämmer.
Lyssna noga nu, för det här är viktigt: Om du inte vet hur du ska kontrollera det du hittar på (eller vet men inte kontrollerar) så ska du inte hitta på.
Vet du hur du ska kontrollera att det du hittade på stämmer?
Men i det här fallet var det onödigt att hitta på något, du behöver inte alls faktorisera uttrycket.
är en vanlig enkel andragradsekvation. När du ska lösa den så ska du bara se till att få ensamt på ena sidan av likhetstecknet.
(nu var ju ursprungsekvationen egentligen , men tekniken att lösa ekvationen är densamma)
Päivi skrev :
Ja det stämmer.
Vet du hur du ska kontrollera om dina två värden på x verkligen uppfyller ekvationen?
Vänta lite.
Päivi skrev :
Ja, Bra. Det stämmer.
Vi kallade cos(x) för t och räknade ut t.
Det betyder att vi även har räknat ut vad cos(x) är.
Vi har alltså att
Är båda dessa rötter korrekta eller är det bara en av dem som är det?
I så fall, vilken?
0.28, inte 0.8
Yngve råkade skriva fel här ovan i näst senaste inlägget.
Bubo skrev :0.28, inte 0.8
Yngve råkade skriva fel här ovan i näst senaste inlägget.
Ojdå. Slarvigt av mig. Tack Bubo!
Ingen idé att jag rättar, då blir det så stökigt.
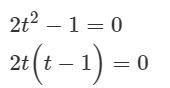
Sorry Päivi, ursprungsekvationen var alltså .
Den löser vi så här:
Vilken av dessa rötter är den rätta Päivi?
Jag blir förbannad på telefonen. Man ser knappast ingenting. Allting hoppar hit och dit och ibland stänger av.
O.8 stämmer
Päivi skrev :O.8 stämmer
OK bra. Då är du klar med första uppgiften.
Jag skriver av det här och sedan visar jag det i datorn.
OK bra.
Kan du nu beräkna sin(x)?
OK bra det är rätt.
Och vilken av plus eller minus är den rätta?
(du hade även kunna använda trigonometriska ettan till att beräkna sin(x))
Plus stämmer.
Ja. Bra. Då är det klart.
Läs gärna igenom tråden igen. Uppgifterna var inte så svåra egentligen, eller hur?
Det är minus som stämmer!
gör man kontroll så är det minus.
Svåra var inte uppgifterna. . Det som stör, det är trigonometri.
Päivi skrev :Det är minus som stämmer!
gör man kontroll så är det minus.
Nej. x ligger i första kvadranten, så det är plus som gäller.
Ja, så är det.
Jag råkade skriva fel i något tråd, men senare har jag rättat upp det. Det kan du kolla.
Där har du ytterligare en anledning att inte ha mer än en tråd om varje uppgift.
Jag märkte av det! Det var ett miss. Det var bra att någon påpekade mig om detta. Jag skrev att jag är nöjd. Jag såg inte att det blev 2 ggr samma sak. De är avbockade nu.