2
svar
104
visningar
Inspiredbygreatness behöver inte mer hjälp
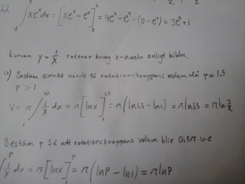
Bestäm exakt värde på rotationskroppens volym då p=1,5

Jag fick det till piln1.5 men enligt facit så är svaret pi/3. Någon som vet varför?
Du verkar räkna som om arean av en cirkel är men formeln för cirkelns area är .
Smaragdalena skrev:Du verkar räkna som om arean av en cirkel är men formeln för cirkelns area är .
Du har rätt,tack.