Jag har ju fått lära mig om tan(2x). Det var skillnad på det här.
Vad innebär det, per definition, att tan(x) = 2?
Defitionsmängden har med x -axeln att göra. I det här fallet vet jag inte det.
Defitionsmängden kan tex vara ett intervall av reella tal eller mängd av hela tal.
Vi har inte haft så mycket sådant i räkna Max C boken om sådant. Man ska veta om det rör sig om y eller x axeln att göra med . Det var minimalt om det.
I det här fallet rör det sig om positiv lutning. Nu handlar det om tan=sinx/cosx
Päivi skrev :Defitionsmängden har med x -axeln att göra.
Låt mig formulera om frågan: Vad innebär det att tan(x) = 2?
Rita en figur ...
För tre dagar sedan hade du ett likartat problem.
Titta i denna tråd för inspiration.
Sin x måste vara 2om det rör sig i y axeln och i cos x måste också vara 2.
Det kan inte vara över ett. Det måste vara under 1.
Max är bara ett både i y och x axeln. Därför är jag frågetecken.
Man kan inte ha över det.
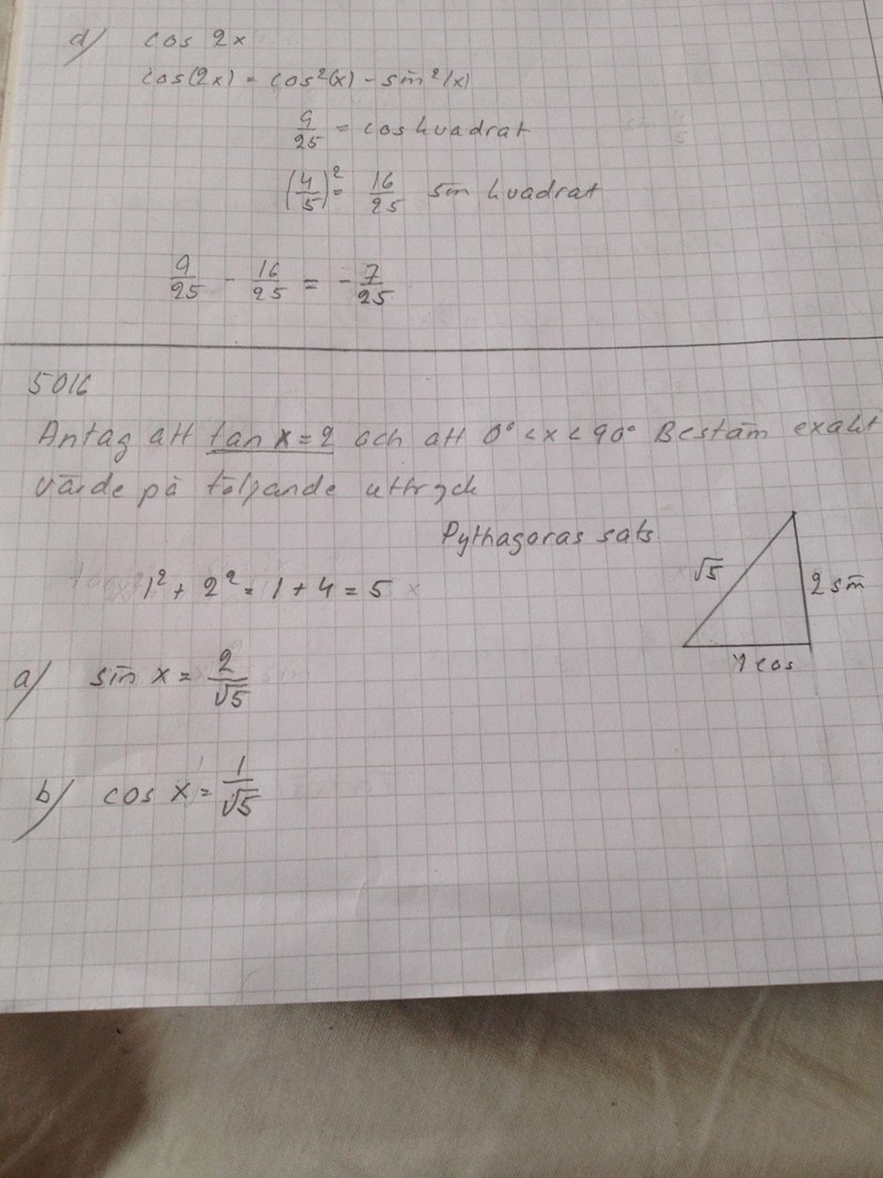
Om motstående katet nu heter 2x , så heter närliggande katet bara x.
motstående katet kallar vi 2x och närliggande katet kallar vi för x. Det blir pythagoras sats. Man måste ta reda på, vad är hypotenusan är då. Det har jag inte tagit reda på än.
tan(x) kan mycket väl ha värdet 2. Eller -432 659 för den delen. Det innebär inte att sin(x) eller cos(x) måste ha ett värde över 1 (eller under -1).
Har du läst tråden jag länkade till Päivi?
Jag kan inte fatta att jag inte kan trycka på ok knappen, när jag försöker svara. Hela alltihop sitter åt sidan. Jag försökte förklara och det gick inte , när allt var snett.
Jag skrev från telefonen
om vi kallar 2 x ex motstående katet och x är bara närliggande katet.
Motstående katet/närliggande katet är tangens.
Om man ska ta reda på mera, måste fixa pythagoras sats först för att veta, vad är hypotenusan. Det går ju räkna fram.
Ja, det har jag.
Päivi skrev :om vi kallar 2 x ex motstående katet och x är bara närliggande katet.
Motstående katet/närliggande katet är tangens.
Om man ska ta reda på mera, måste fixa pythagoras sats först för att veta, vad är hypotenusan. Det går ju räkna fram.
Ja det är en bra början. Men välj hellre något annat än x som obekant för sidlängderna, eftersom x här betecknar en vinkel och vi vill undvika risk för sammanblandning.
Päivi skrev :Ja, det har jag.
Om du har läst (och förstått) det som skrevs i den tidigare tråden så borde denna uppgift vara en enkel match för dig.
Hjärnan kopplade inte ihop om det här. Nu är det inga problem alls
Nu är det inga problem alls. Den här uppgiften klarar jag av. Det handlar om pythagoras sats. Man måste ta reda på hypotenusan och den är roten ur 5.
De här uppgifterna klarar jag av.
Jag förstod inte riktigt frågan själv. Det här har med triangel att göra med.
Bra.
Hej!
Rita en rätvinklig triangel där de två kateterna är 1 och 2 långa. Vinkeln som står mot kateten 2 kallar du Pythagoras sats ger att triangelns hypotenusa är lång. Definitionen av sinusvärdet för en vinkel i en rätvinklig triangel ger att sinusvärdet är lika med kvoten
Albiki
De alla 4 uppgifterna har jag redan gjort. Det är bra hålla på tjata ett tag om dubbla vinkel. Jag kan grundläggande trigonometri och kan pythagoras sats.
Hjärnan kopplade inte ihop det här med tan x = 2. Det var länge sedan som jag körde mycket på pythagoras sats. Det var i A kursen. Grundläggande trigonometri handlar om det här. Jag var inne på dubbla vinkel.
Jag märker av, hur mycket min sambo har påverkat mig. När min mor dog, kunde jag till o med svimma av helt plötsligt. Det spelade ingen roll, var jag än var. Då var minnet helt borta. Det gick inte alls läsa. När jag inte visste vad jag läste dagen innan. Kom inte ihåg att hade ens läst. Då var det mycket värre, men det gick över. Det här är ändå lindrigare form. Jag klarar ändå läsa, men något spärr har jag fortfarande. Jag måste försöka få bort spärren på något sätt. Det viktigaste är att man har lugn och ro och kan koncentrera sig enbart i matten. Jag tvingar mig hela tiden.
Jag kör igen dubbla vinkel från en annan bok. Jag kör tills jag är säker på det här. Jag ger mig inte upp. Det måste bara sitta.
Det här stämmer inte.

(a/b)*(c/d) = (a*c)/(b*d), men du har skrivit som att det skulle vara (a*c)/b.
När du multiplicerar två bråk måste du alltså multiplicera ihop både täljarna och nämnarna.
Nämnaren ska vara roten ur 25. Nu blir jag tokig. Det är bra att du påpekar
svaret ska vara 4/5.
EDIT - Nvm.
Ja, det var ett slarv fel. Visst vet jag att roten ur 5 multipliceras med roten ur 5 är roten ur 25.
Det syns att något är tokigt här. Nu höll jag på 2 gånger om samma räkne uppgifter som jag har gjort tidigare.
Uppgift 5016 a)


