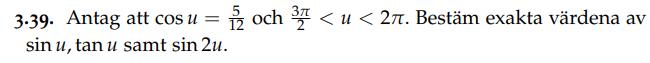
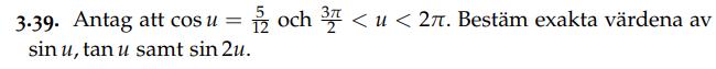
Bestäm exakta värden för sin u, tan u samt sin2u

Hej, behöver hjälp med följande uppgift.
Eftersom att intervallet är mellan 3pi/2 och 2/pi, antar jag att det är mellan 90grader och 270 grader.
Hur vet jag om den är mellan 90 och 180 grader, eller 180 och 270 grader? Det påverkar ju om sinus/tangens ska vara negativa värden?
Cos u = 5/12
jag har fått fram att sinus= -rotenur119/12
tan=-rotenur119/5
sen har jag till slut räknat
Svaret är som vanligt helt fel, då facit säger att svaret ska vara
Eftersom att 2pi är ett helt varv runt cirkeln motsvarar det 360 grader. I vilket intervall ligger då u?
Trigonometriska likheter som är bra att ha koll på för att lösa denna uppgift är:
- Trigonometriska ettan:
- Definitionen av tangens:
- och formeln för dubbla vinkeln:
Kan du använda dessa formler för att lösa problemet?
Taru skrev:
Hej, behöver hjälp med följande uppgift.
Eftersom att intervallet är mellan 3pi/2 och 2/pi, antar jag att det är mellan 90grader och 270 grader.
Hur vet jag om den är mellan 90 och 180 grader, eller 180 och 270 grader? Det påverkar ju om sinus/tangens ska vara negativa värden?
Cos u = 5/12
jag har fått fram att sinus= -rotenur119/12
tan=-rotenur119/5
sen har jag till slut räknat
Svaret är som vanligt helt fel, då facit säger att svaret ska vara
Du har fel tecken på sin(2u) i övrigt samma svar som facit eftersom 10/144 = 5/72.
För att få rätt tecken, använd enhetscirkeln! och som Calle_K påpekade, du är i fel kvadrant.
