Päivi skrev :Uppgift 2156
a och b
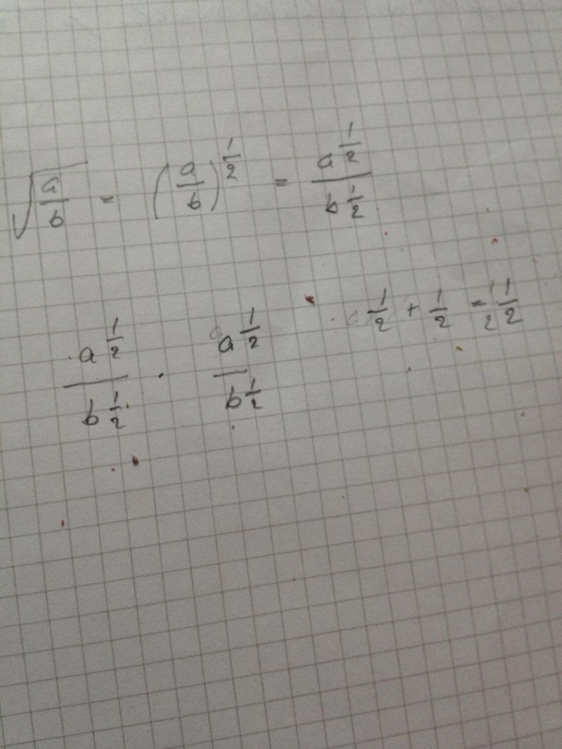
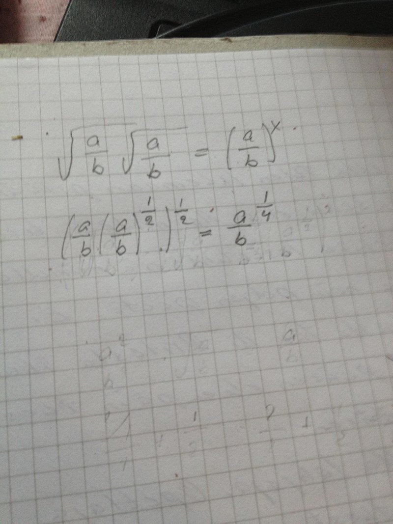
Hur har du försökt själv? För att bli av med det första rottecknet i VL så kvadrerar du HL och VL.
I den här skall du tänka på att . Ser du då hur du skall göra?
Jag är riktigt sömnig. Vi tar detta imorgon. Jag håller på somnar hela tiden.
Det finns flera olika sätt att lösa dessa uppgifter.
Jag tror att det enklaste sättet är att utnyttja att och sedan en väl vald potenslag. Fortsätt sedan med samma teknik tills du har förenklat vänsterledet och blivit av med alla rotenur-tecken.
Ser inte rätt ut. Börja innifrån:
Jag ska titta på det där, när djuren är i ordning och att jag har fått något i mig. Har tagit det lugnt. Jag gjorde det där mitt i natten igår, när jag var riktigt sömnig. Jag försökte titta på youtube. Jag somnade mitt i allt och hängde inte alls med. Man kan inte titta på youtube och sova bredvid. Då begrep jag att det här går inte. Jag var fruktansvärd sömnig igår och var nära på glömma djuren. Man kan inte syssla med matte, när man är sömnig. Det har hänt att jag kan sova bredvid matte bok. Jag har försökt lösa en uppgift. Mitt i allt somnat och vaknar upp, har inte jag gjort det där.
Jag måste få mig i lite kaffe för att bli piggare. Jag återkommer !
Kan du skriva i potensform (d v s som )?
Kan du skriva i potensform (d v s som )?
Jag ska koppla mig till dator Magdalena. Jag är lite osäker på det här.
Jag måste till formeleditorn. Det går inte visa något från telefonen. Jag läste Magdalena vad du skrev.
Hur skriver du som en potens?
Ja, . Nästa fråga, hur skriver du som en potens?
Nej, det är fel.
Tänk:
Se potenslagarna nedan:

Då måste det adderas.
Päivi skrev :Då måste det adderas.
Helt korrekt!
Det stämmer. Nästa steg: Vad är ?
Ja. Kan du använda detta på dina uppgifter?
Det ska jag nog kunna. Det där var riktigt bra måste jag säga Magdalena. Jag vill kontrollera nästa uppgift eftersom det skiljer lite på nästa. Återkommer om den. Jag ska äta nu.
Tack för det här Magdalena!




