2
svar
95
visningar
teachmeZpinnn behöver inte mer hjälp
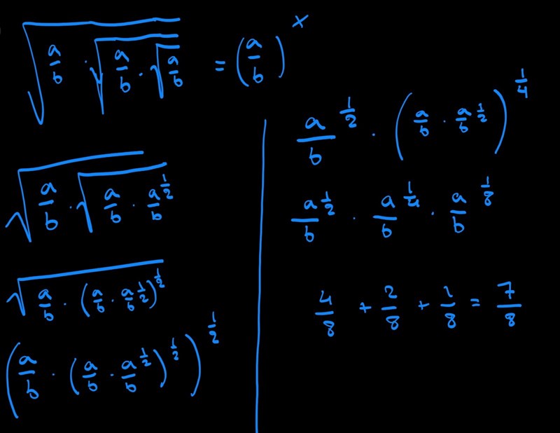
Bestäm exptonenten
Hej, i facit står det att svaret är 3/8, vad har jag gjort fel? Tack på förhand!


Andra bråket i VL är ej
Oj... Tack!!!