Visa hur du resonerar och räknar så kan vi hjälpa dig att hitta felet.
Yngve skrev:Visa hur du resonerar och räknar så kan vi hjälpa dig att hitta felet.
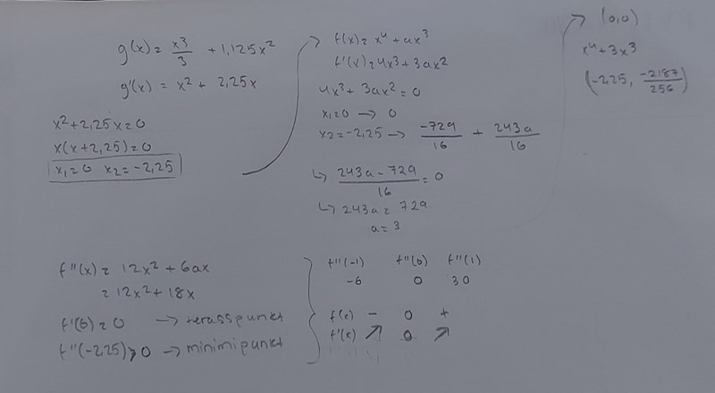
Jag räknade om den och fick att punkten (0,0) är en terasspunkt, när jag endast skriver in den andra punkten blir det också fel
Det står "Svara med två decimaler". Funkar det om du gör det?
Det stämmer att a = 3.
Det stämmer origo är en terrasspunkt för f(x).
Det stämmer att f(x) har en minpunkt vid x = -2,25.
Men vad har den punkten för koordinater om du avrundar till två decimaler?
Smaragdalena skrev:Det står "Svara med två decimaler". Funkar det om du gör det?
Nej
Bayan Ali skrev:Smaragdalena skrev:Det står "Svara med två decimaler". Funkar det om du gör det?
Nej
Visa vad du då skriver in.
Yngve skrev:Det stämmer att a = 3.
Det stämmer origo är en terrasspunkt för f(x).
Det stämmer att f(x) har en minpunkt vid x = -2,25.
Men vad har den punkten för koordinater (ditt första svar är fel)?
Ja jag räknade om det och fick (-2.25, (-2187/256))
Yngve skrev:Bayan Ali skrev:Smaragdalena skrev:Det står "Svara med två decimaler". Funkar det om du gör det?
Nej
Visa vad du då skriver in.
(-2.25, -8.54)
Bayan Ali skrev:
(-2.25, -8.54)
Det är rätt. Skrev du att det är en minimipunkt?
Har du prövat att skriva decimalkomma istället för decimalpunkt (eller tvärtom)?
Yngve skrev:Bayan Ali skrev:(-2.25, -8.54)
Det är rätt. Skrev du att det är en minimipunkt?
Har du prövat att skriva decimalkomma istället för decimalpunkt (eller tvärtom)?
Nej, hade den maximi istället 🙈
Nu blev det rätt, tack så mycket
