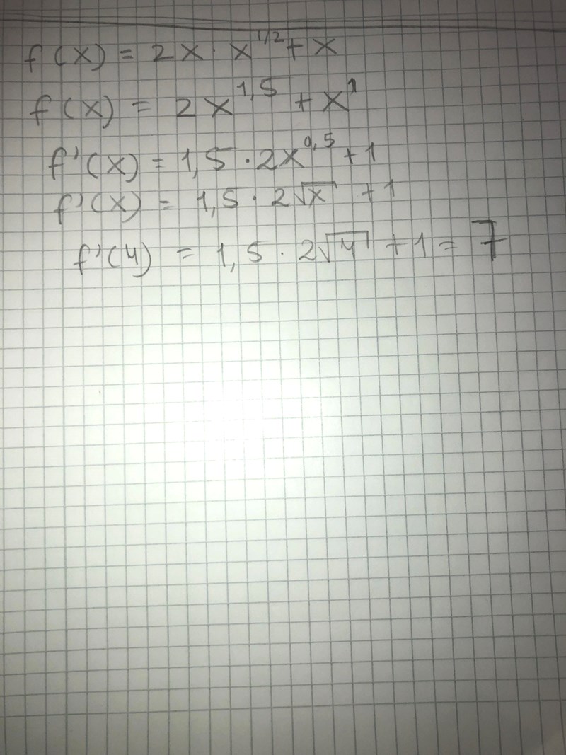
Matematik / Matte 3 1 svar 55 visningar Lisa14500 behöver inte mer hjälp Avmarkera Lisa14500 1536 – Fd. Medlem Postad: 23 nov 2020 11:25 Bestäm f’(4) Är min lösning rätt ? Laguna Online 31946 Postad: 23 nov 2020 11:29 Ja. Användare skriver Svara Du behöver Logga in eller Bli medlem först! Avbryt