Är du med på att
(f(b) - f(a))/(b - a) = k
?
f(a) = c. a, b och k är kända. Bara f(b) kvar.
Förändringen / intervallet är jag med på och att det blir k. Så långt är jag med på.
Päivi skrev :Förändringen / intervallet är jag med på och att det blir k. Så långt är jag med på.
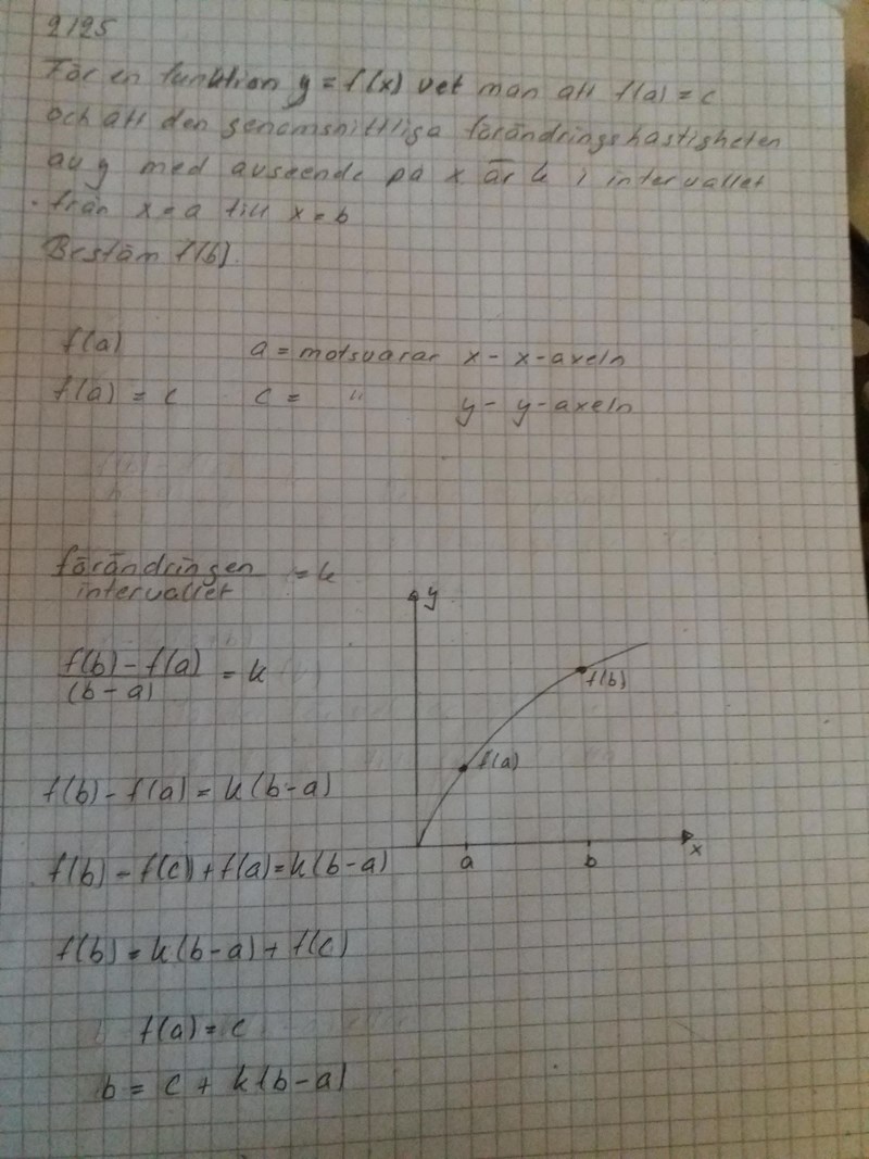
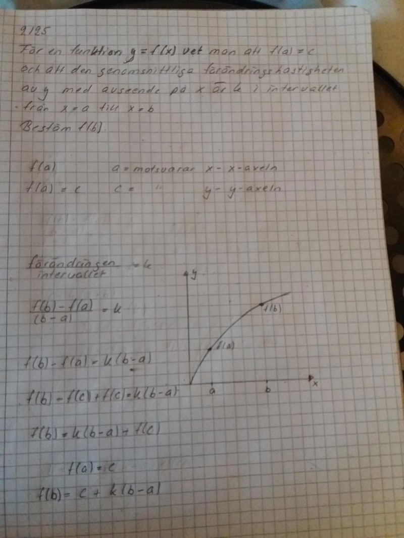
Rita en figur Päivi.
Rita ett koordinatsystem, markera två punkter.
En som du kallar (a, f (a)) och en som du kallar (b, f (b)).
Dra en linje genom de två punkterna.
Du känner till att denna linjes lutning är k.
Det de söker är f(b).
Snygg figur Päivi!
Du har skrivit två samband till vänster.
Den ena stämmer (grönmarkerat).
I det sambandet är både a, b, f(a) och k givet.
Det som efterfrågas är f(b).
Det är alltså nu endast en fråga om att lösa ut f(b) ur det sambandet.
Jag hann inte radera bort det här övriga som jag hade skrivit. Jag hade bara ritat figur och sedan svarade jag.
Hej Päivi.
Du tänker nog rätt men din uträkning har flera fel i sig.
Du har svarat att b = någonting men det stämmer inte. Dessutom frågar de inte efter b utan efter f(b).
Titta igenom dina uträkningar och se om du hittar felen.
Fråga annars här så hjälper vi dig att hitta dem.
Vad är c(k)? Du vet att (medel)lutningen i intervallet är k, du behöver inte krångla till det. Om du ändrar c till k och suddar ut te två nedersta raderna är du klar (fast jag skulle skriva det som f(b) = f(a) + k(b-a), men det är en smaksak ).
EDIT: Du har gjort något konstigt på rad 4 nerifrån, som jag inte la märke till tidigare. Sedan är det riktigt på raden efter.
Jag kan börja.
Rad 1: Stämmer.
Rad 2: Vad har du skrivit här? Kan du förklara med ord vad det står och varifrån de olika delarna kommer?

Smaragdalena skrev :Vad är c(k)? Du vet att (medel)lutningen i intervallet är k, du behöver inte krångla till det. Om du ändrar c till k och suddar ut te två nedersta raderna är du klar (fast jag skulle skriva det som f(b) = f(a) + k(b-a), men det är en smaksak ).
C menar jag för k värdet och ville ändra detta till k istället, men c måste ju vara y värdet och inte k.
Är inte detta Ok, då behöver jag mer hjälp.
Samma sak igen Päivi.
Du tänker rätt men skriver fel.
Skillnaden är att nu har du fått fram rätt svar på sista raden.
Kan du hitta skrivfelen du har gjort nu i ditt senaste inlägg?
Och letade du efter dina fel i din tidigare uträkning eller började du bara om från början?
Yngve!
Nr 2
f((b)-f(a))/(b-a)= k (riktnings koefficient)
c motsvara y värdet.
Nr 3
f(b) - f(c)= k (b-a)
f(b)- f(c)+f(c)= c + k(b-a)
alltså
f(b)= c+ k(b-a)
Jag klarar inte av det här nu mer, Yngve.
Ja det gjorde jag.
Päivi skrev :Yngve!
Nr 2
f((b)-f(a))/(b-a)= k (riktnings koefficient)
OK.
c motsvara y värdet.
Nr 3
f(b) - f(c)= k (b-a)
Det här förstår jag inte. Kan du förklara med ord vad det är du skriver här?
f(b)- f(c)+f(c)= c + k(b-a)
alltså
f(b)= c+ k(b-a)
f(a) = c
a uppfattar jag är i x axeln i alla fall och c måste vara y värdet.
Mera klarar jag inte av förklara.
Svårt att kunna sätta ihop detta tycker jag.
Vad är det för fel på beteckningen f(a) när det är det du menar? Varför vill du kalla det c? Och vad är f(c)?
Päivi skrev :f(a) = c
a uppfattar jag är i x axeln i alla fall och c måste vara y värdet.
Mera klarar jag inte av förklara.
Svårt att kunna sätta ihop detta tycker jag.
Ja det stämmer.
Men har du alltså svårt att se vad du har skrivit för fel i följande rad Päivi? I så fall måste vi träna på detta mycket mycket mer.
f(b) - f(c)= k (b-a)
c/ f(b) = k (b-a)
c är alltså y värdet och skall inte vara ihop med f(b)
Jag vet inte, hur jag ska göra, Yngve!
y värdet ska vara i täljaren och x värden i nämnaren.
f(b)-f(a)= k(b-a)
f(b)= a + k (b-a)
c/f(b)= a+ k (b-a)
Nu pratar vi endast om följande rad som du skrev:
f(b) - f(c)= k (b-a)
Ser du något konstigt med den?
Felet sitter
- f(c)
c ska vara y värdet och ska stå i täljaren.
Något annat fel ser jag inte. Det som står i högerledet är riktigt, men vänster ledet är det fel på.
Det ser jag.
f(b) hör ju till den här förändringen som ska vara i delta y.
Jag klarar inte svara mera, Yngve!
Päivi skrev :Felet sitter
- f(c)
c ska vara y värdet och ska stå i täljaren.
Något annat fel ser jag inte. Det som står i högerledet är riktigt, men vänster ledet är det fel på.
Det ser jag.
Bra Päivi!
Just sådana felskrivningar gör du ganska ofta.
Man märker att du tänker rätt, för felskrivningarna finns ofta bara där ett tag och påverkar då inte slutresultatet. Det är som om du tänker på ett sätt men skriver på ett annat sätt. Det verkar som om du inte fokuserar på vad du egentligen skriver, utan att dina tankar då är på annat håll.
Tyvärr så kommer sådant beteende att vilseleda läsarna och leda till onödiga poängavdrag på prov/inlämningsuppgifter.
Det är därför jag ibland, som till exemoel nu, tjatar om att jag vill att du ska hitta dina egna slarvfel/skrivfel själv.
Det är väldigt svårt att helt undvika slarvfel. Just därför är det viktigt att kunna gå igenom sina egna uträkningar och hitta dem i efterskott.
Nu när du sett att det står - f(c), testa korrigera det till det du tycker att det ska stå.
Jag klarar inte av det.
Päivi skrev :Jag klarar inte av det.
OK jag förstår att du blev pressad och stressad nu Päivi. Då är det svårt att prestera sådant som i normalfall skulle ha varit plättlätt.
Lägg då detta åt sidan ett tag och kom tillbaka senare med en korrigerad uträkning.
Det är absolut ingen brådska. Vi finns här även sedan.
Päivi skrev :Jag klarar inte av det.
Jodå, det gör du visst!
Jag tackar för hjälpen. Jag frågar hjälp med denna uppgift av någon annan istället imorgon.
Tusen tack
Yngve skrev :Päivi skrev :Jag klarar inte av det.
OK jag förstår att du blev pressad och stressad nu Päivi. Då är det svårt att prestera sådant som i normalfall skulle ha varit plättlätt.
Lägg då detta åt sidan ett tag och kom tillbaka senare med en korrigerad uträkning.
Det är absolut ingen brådska. Vi finns här även sedan.
Jag frågar hjälp av en annan, när jag inte kan få det. Kommer inte fråga hjälp mer med denna uppgift.
Jag ställde frågan just av den anledningen eftersom jag behövde hjälp, men tydligen får jag inte det av pluggakuten .
Vad är det som är fel på uträkningen nu? Svar vill jag ha och hur ska det vara då???
Jag vill bli korrigerat även med denna uppgift. Jag ber hjälp med det.
Tack Joculator för hjälpen! Nu är jag nöjd.!
Hej Päivi.
Vi har hittills enträget påpekat och pekat ut de slarvfel/skrivfel du gör.
Som jag skrev här så tycker jag att det är viktigt att du tränar på att själv hitta dina egna slarvfel/skrivfel.
Nu frågar jag dig om du vill lära dig att göra det?
Så länge som jag inte mår bra klarar jag inte av det. När jag är riktigt osäker på uppgiften. Där hittar jag inga fel alls. Vad som kommer hända med uppgiften. Det är att jag lämnar uppgiften åt sidan och struntar den för gott. Det hjälper mig ännu mindre. Jag letar först felen själv, innan jag postar något. Är det enhet som det är fel på. Är det små saker för mig. Detta beror också på att jag är inte uppmärksam på saker. Jag är inte ok ännu. De på sjukhuset har sagt att det tar ca 1-2 år, innan man är helt återställd. Man blir bättre hela tiden, men det dröjer ännu.
Tankarna flyger ibland iväg åt min sambo och hans ord hans sista levnads månaderna. Jag tänker på honom lite då och då.
Man har svårt kunna acceptera situationen riktigt. Det har inte gått ett år ännu. Många klarar inte alls av läsa matte när sådant här har inträffat. Det är rätt svårt.
När jag är bättre, är saken en annan, men inte nu.
Päivi skrev :Så länge som jag inte mår bra klarar jag inte av det.
...
När jag är bättre, är saken en annan, men inte nu.
OK vad bra att du säger till hur du vill ha det Päivi.
Då ska jag genast sluta försöka få dig att hitta dina egna slarv-/skrivfel.
Kom ihåg att säga till senare när du vill lära dig det.
Det är inte så jag menade, Yngve! Man ska tala om de, men jag vill bli tillrätta visat på det. Jag tycker inte om gissnings tävling. Det var så igår.
Päivi skrev :Det är inte så jag menade, Yngve! Man ska tala om de, men jag vill bli tillrätta visat på det. Jag tycker inte om gissnings tävling. Det var så igår.
Jag skrev att jag genast ska sluta försöka få dig att hitta dina egna slarv-/skrivfel.
Jag skrev inte att jag ska sluta påpeka dina slarv-/skrivfel.






