1
svar
64
visningar
Bayan Ali behöver inte mer hjälp
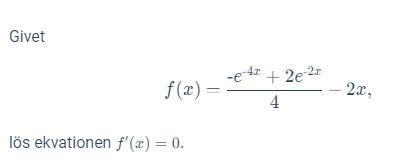
bestäm f'(x)=0

Jag får derivatan att blir e-4x-e-2x-2 men vet ej hur jag ska lösa den när jag sätter den till 0, fastnar där
Bra början.
Sätt t = e-2x och försök skriva om e-4x med hjälp av t.
Kommer du vidare då?