4
svar
103
visningar
Bestäm FN
Hur kom dom fram till att man ska räkna ut det med roten ur 2*gravitation*höjden?

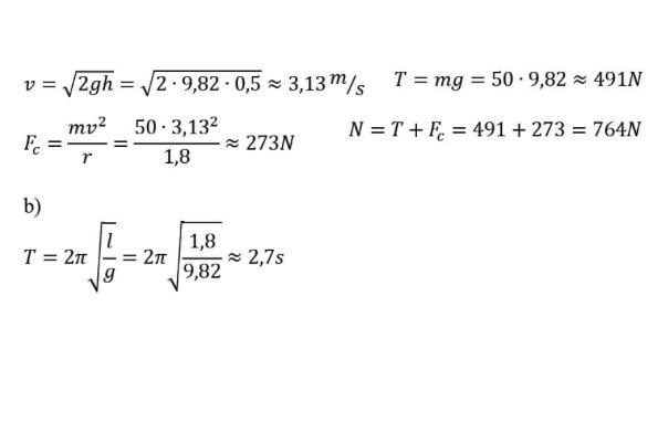
För att bestämma hastigheten i bottenläget tittar man på energin.
Potentiell energi (lägesenergi) vid gungans högsta läge omvandlas till rörelseenergi vid gungans lägsta läge.
mgh = 0,5mv2 som man sen löser ut v ur.
Det där är en formel för periodtiden T hos en matematisk pendel. Gungan beter sig som en matematisk pendel.
hmmm förlåt men nu hänger jag inte me den ena säger att det är formel för lägesenergi och den andra säger det är formel för matematisk pendel vilket stämmer?
Soderstroms inlägg gäller formeln på sista raden,
Mitt inlägg rör hastigheten som du frågade om,