Bestäm för vilka värden på det reella talet a som kvoten blir imaginär

-1.jpg?width=800&upscale=false)
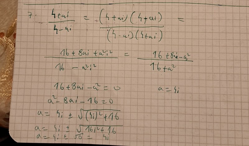
Så långt har jag kommit. Men facit fick det till a=-+4. Jag vet ej var jag tänkt fel eftersom nämnaren är alltid positivt så den var ej intressant.
Hej.
Vi kallar det komplexa talet z.
Felet är att du löser ekvationen z = 0, men du ska lösa ekvationen Re z = 0.
Yngve skrev:Hej.
Vi kallar det komplexa talet z.
Felet är att du löser ekvationen z = 0, men du ska lösa ekvationen Re z = 0.
Okej varför ska vi ska lösa ekvationen Re z=0? När du säger Re z,så antar jag att du menar den real delen av komplexa talet z?
Att ett komplext tal är rent imaginärt betyder att talets realdel är 0. Om vi skriver det komplexa talet som z = a+bi så måste alltså a ha värdet 0 för att z skall vara rent imaginärt.
Smaragdalena skrev:Att ett komplext tal är rent imaginärt betyder att talets realdel är 0. Om vi skriver det komplexa talet som z = a+bi så måste alltså a ha värdet 0 för att z skall vara rent imaginärt.
Jaha okej så vi ska titta på 16+a^2=0?
Jaha okej så vi ska titta på 16+a^2=0?
Varför det?
Du skall bestämma det värde på a som gör att kvoten (4+ai)/(4-ai) = 0+ki. Jag skulle börja med att multiplicera båda led med VL:s nämnae och sedan identifiera koefficienterna.
Smaragdalena skrev:Jaha okej så vi ska titta på 16+a^2=0?
Varför det?
Du skall bestämma det värde på a som gör att kvoten (4+ai)/(4-ai) = 0+ki. Jag skulle börja med att multiplicera båda led med VL:s nämnae och sedan identifiera koefficienterna.
Jaha okej. I nämnaren ser det reellt ut och jag tänkte att det är där man vill titta på när det reella blir 0. Då gör jag som du säger ovan.
Jaha okej. I nämnaren ser det reellt ut och jag tänkte att det är där man vill titta på när det reella blir 0.
Vad menar du med det? Om a har något annat värde än 0 är nämnaren komplex.
Smaragdalena skrev:Jaha okej. I nämnaren ser det reellt ut och jag tänkte att det är där man vill titta på när det reella blir 0.
Vad menar du med det? Om a har något annat värde än 0 är nämnaren komplex.
Okej så vi söker a som ska göra kvoten imaginär? Jag förstod uppgiften men sättet man angriper den på visste jag ej. Jag ser att du satte kvoten lika med 0+ki,varför gjorde du det?
Titta på täljaren rad 2 i din beräkning. Sätt realdelen=0
rapidos skrev:Titta på täljaren rad 2 i din beräkning. Sätt realdelen=0
Jag ser vilken realdel du menar där. Kanske 0+8ai-a^2=0?
16-a^2=0
rapidos skrev:16-a^2=0
Du menar 16+a^2?
Vi har att
Detta kan skrivas som
Realdelen av , dvs , är då lika med
Det är denna realdel som ska vara lika med 0.
Det ger dig ekvationen , dvs
Lösningarna är
Yngve skrev:Vi har att
Detta kan skrivas som
Realdelen av , dvs , är då lika med
Det är denna realdel som ska vara lika med 0.
Det ger dig ekvationen , dvs
Lösningarna är
Ok då förstår jag. Så man ska sätta Real delen lika med 0 för att lösa ut a som gör att hela kvoten blir imaginärt?
Ja. Läs svar #4 igen.