2
svar
67
visningar
Soderstrom behöver inte mer hjälp
Bestäm Fourierserien till |sin(t)|
Som rubriken lyder, jag kom fram till det här och fastnat! Till att börja med, är det rätt att ?
Ja, vinkelfrekvensen blir . Du tycks ha tappat en faktor 1/2 på vägen i din produktformel.
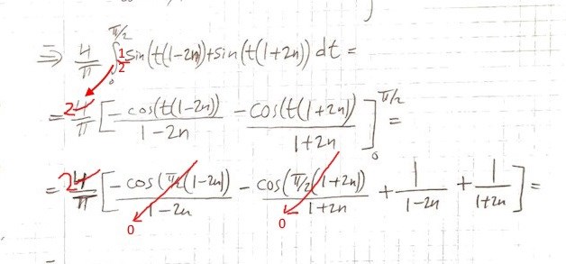
Notera att är ett jämnt heltal, varför uttryck som landar på multiplar av eller (jämför med enhetscirkeln om du är osäker).
Alltså försvinner de första två termerna:

D4NIEL skrev:Ja, vinkelfrekvensen blir . Du tycks ha tappat en faktor 1/2 på vägen i din produktformel.
Notera att är ett jämnt heltal, varför uttryck som landar på multiplar av eller (jämför med enhetscirkeln om du är osäker).
Alltså försvinner de första två termerna:
Ok! Tack så mycket för förklaringen! :)