30 svar
222 visningar
destiny99 behöver inte mer hjälp
destiny99 10925
Postad: 21 nov 2025 17:26 Redigerad: 21 nov 2025 17:27

Bestäm fourierserier för g(x) och h(x)

Hej!

Denna fråga upplevde jag klurig under en bonuspoäng skrivning vi haft idag pga funktionen är styckvis och jag har inte riktigt sett sån typ av uppgift tidigare. Mitt försök var att identifiera jämn och udda funktion. Jag vet att cos(5x) är en jämn funktion och måste då vara g(x) medan -3x är en udda funktion vilket ger oss h(x). Sen ska man bestämma fourierkonstanterna a_n och b_n för formeln för fourierserier , men jag var jätte osäker över hur man ska resonera med 0 och 3 som finns i klamrarna med där de är definierade i olika intervall. Skulle uppskatta en steg för steg genomgång på hur denna uppgift ska lösas och vad den där funktionen säger med klamrarna. Jag tror det är där det gick snett för mig.

PATENTERAMERA 7553
Postad: 21 nov 2025 18:48

Du kan dela upp en funktion i jämn och udda del på följande sätt.

f(x) = (f(x) + f(-x))/2 + (f(x) - f(-x))/2.

destiny99 10925
Postad: 21 nov 2025 20:34 Redigerad: 21 nov 2025 20:35
PATENTERAMERA skrev:

Du kan dela upp en funktion i jämn och udda del på följande sätt.

f(x) = (f(x) + f(-x))/2 + (f(x) - f(-x))/2.

Jag har faktiskt fastnat redan här. Vad står dessa två funktioner för?  En funktion är jämn om f(-x)=f(x) och udda om f(-x)=-f(x)

PATENTERAMERA 7553
Postad: 21 nov 2025 20:45 Redigerad: 21 nov 2025 20:46

Precis, (f(x) + f(-x))/2 är en jämn funktion och (f(x) - f(-x))/2 är en udda funktion. Summan av dessa funktioner är lika med f(x).

destiny99 10925
Postad: 21 nov 2025 20:53 Redigerad: 21 nov 2025 21:01
PATENTERAMERA skrev:

Precis, (f(x) + f(-x))/2 är en jämn funktion och (f(x) - f(-x))/2 är en udda funktion. Summan av dessa funktioner är lika med f(x).

Ok. Men hur kom man på att (f(x)+f(-x))/2 är jämn och samma sak med den andra summan om udda?

f(-x)/2+f(-(-x))/2=f(x)/2+f(x)/2=f(x) (jämn)

f(-x)/2-f(x)/2=-f(x)/2-f(x)/2=-f(x) (udda)

PATENTERAMERA 7553
Postad: 21 nov 2025 21:09

Sätt w(x) = (f(x) + f(-x))/2. Då har vi att w(-x) = (f(-x) + f(x))/2 = (f(x) + f(-x))/2 = w(x). Så w(x) är jämn.

PATENTERAMERA 7553
Postad: 21 nov 2025 21:11
destiny99 skrev:
PATENTERAMERA skrev:

Precis, (f(x) + f(-x))/2 är en jämn funktion och (f(x) - f(-x))/2 är en udda funktion. Summan av dessa funktioner är lika med f(x).

Ok. Men hur kom man på att (f(x)+f(-x))/2 är jämn och samma sak med den andra summan om udda?

f(-x)/2+f(-(-x))/2=f(x)/2+f(x)/2=f(x) (jämn)

f(-x)/2-f(x)/2=-f(x)/2-f(x)/2=-f(x) (udda)

Ja, precis.

destiny99 10925
Postad: 21 nov 2025 21:29 Redigerad: 21 nov 2025 21:32
PATENTERAMERA skrev:
destiny99 skrev:
PATENTERAMERA skrev:

Precis, (f(x) + f(-x))/2 är en jämn funktion och (f(x) - f(-x))/2 är en udda funktion. Summan av dessa funktioner är lika med f(x).

Ok. Men hur kom man på att (f(x)+f(-x))/2 är jämn och samma sak med den andra summan om udda?

f(-x)/2+f(-(-x))/2=f(x)/2+f(x)/2=f(x) (jämn)

f(-x)/2-f(x)/2=-f(x)/2-f(x)/2=-f(x) (udda)

Ja, precis.

Ok. Så hur ska man göra med g(x) och h(x) här för att bestämma dem? 

f(x)=cos(5x)/2+3x/2+cos(-5x)/2-3x/2+cos(5x)/2+3x/2-cos(-5x)/2-3x/2

PATENTERAMERA 7553
Postad: 21 nov 2025 21:53

Det är som du säger att cos(5x) är jämn och -3x är udda. Så det är bara funktionen

sx=3, -π<x00, 0<xπsom behöver delas upp i jämn och udda del.

Jag får det till

sjämnx=32, -π<xπ.

suddax=32, -π<x0-32, 0<xπ

destiny99 10925
Postad: 21 nov 2025 22:14 Redigerad: 21 nov 2025 23:32
PATENTERAMERA skrev:

Det är som du säger att cos(5x) är jämn och -3x är udda. Så det är bara funktionen

sx=3, -π<x00, 0<xπsom behöver delas upp i jämn och udda del.

Jag får det till

sjämnx=32, -π<xπ.

suddax=32, -π<x0-32, 0<xπ

Jag hänger inte med här tyvärr. Jag vet inte hur man delar upp styckvisa funktionen i jämn och udda del. Kan det vara så att man använder sig av gränsvärde tänk dvs  lim x=> 0+ då x närmar sig  0 från höger sida (positiva x-axeln) och f(x)  går mot 0 och lim x=>0- när x närmar sig 0 från negativa x-axeln så går f(-x)=3? x=0 och x=pi är de enda som gör hopp för f(x) tror jag.

PATENTERAMERA 7553
Postad: 22 nov 2025 02:06

Jag ritade bara upp s(x) och sedan gjorde jag en gissning av hur uppdelningen skulle kunna se ut.

destiny99 10925
Postad: 22 nov 2025 09:04 Redigerad: 22 nov 2025 09:13
PATENTERAMERA skrev:

Jag ritade bara upp s(x) och sedan gjorde jag en gissning av hur uppdelningen skulle kunna se ut.

Ja okej. Men funkar det med min gränsvärde tänk också? Jag får att s(x)= { 3/2 , -pi<x<=0 

-3/2 , 0<x<=pi. Den jämna funktionen blir väl g(x)=cos(5x)+3/2 och udda blir det h(x)=-3x-3/2

destiny99 10925
Postad: 22 nov 2025 12:06 Redigerad: 22 nov 2025 12:17

Jag använde trigonometrisk formel för cos(5x)cos(nx) enligt formelbladet för att integrera den termen. Men då blir an =0 vilket inte stämmer med facits svar.  Jag vet inte hur man ska tänka när man ska ta fram fourierkoefficienter för integranden cos(5x)cos(nx).

PATENTERAMERA 7553
Postad: 22 nov 2025 13:47

Vad händer om n = 5 eller -5?

destiny99 10925
Postad: 22 nov 2025 13:49 Redigerad: 22 nov 2025 13:50
PATENTERAMERA skrev:

Vad händer om n = 5 eller -5?

Om n=5 så blir integranden cos^2(5x) för n=-5 vet jag inte.

PATENTERAMERA 7553
Postad: 22 nov 2025 13:58

cos(x(5-5)) = cos(0) = 1.

destiny99 10925
Postad: 22 nov 2025 14:12 Redigerad: 22 nov 2025 14:13
PATENTERAMERA skrev:

cos(x(5-5)) = cos(0) = 1.

Men hur ska man tänka när man ska ta fram fourierserier för cos5xcos(nx) utan ett formelblad som ger oss svaret 0?

PATENTERAMERA 7553
Postad: 22 nov 2025 14:35

Tex borde man kunna använda att cos(mx) = (eimx + e-imx)/2.

destiny99 10925
Postad: 22 nov 2025 15:22 Redigerad: 22 nov 2025 15:27
PATENTERAMERA skrev:

Tex borde man kunna använda att cos(mx) = (eimx + e-imx)/2.

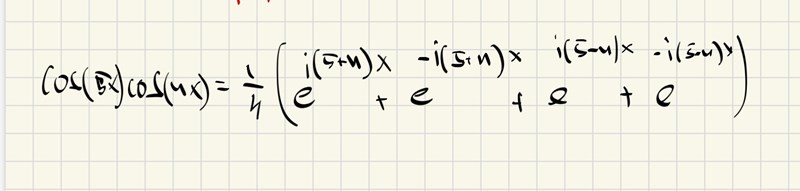
Ja det kan man göra för tex cos(5x) men vad ska man den till ? Blir det inte krångligare att integrera sen när man även ska göra om cos(nx) till den där exponentialen? Jag kan förresten testa med både cos(5x)cos(nx) och se om det blir enklare integrering med omvandling till e^ix 

PATENTERAMERA 7553
Postad: 22 nov 2025 15:28

02πeinxdx=0, n02π, n=0

destiny99 10925
Postad: 22 nov 2025 15:31

PATENTERAMERA 7553
Postad: 22 nov 2025 15:38

destiny99 10925
Postad: 22 nov 2025 15:56
PATENTERAMERA skrev:

Efter denna långa uträkning så tar allt ut varandra.

PATENTERAMERA 7553
Postad: 22 nov 2025 16:13

Du måste tänka på vad som speciellt händer då n = 5. Då blir 5 - n = 0.

0πei·0·xdx=0π1dx =π.

destiny99 10925
Postad: 22 nov 2025 16:15 Redigerad: 22 nov 2025 16:16
PATENTERAMERA skrev:

Du måste tänka på vad som speciellt händer då n = 5. Då blir 5 - n = 0.

0πei·0·xdx=0π1dx =π.

Vill du visa var i mina uträkningar som är felaktig? Jag förstod som att man ska göra på det sättet.

PATENTERAMERA 7553
Postad: 22 nov 2025 16:20 Redigerad: 22 nov 2025 16:20

De är korrekta, tror jag, så länge som n är skilt från 5. Men om n = 5 så måste du utgå från att ei(5-n)x = ei0x = 1 när du integrerar. Annars få du division med noll, inte bra.

destiny99 10925
Postad: 22 nov 2025 16:24 Redigerad: 22 nov 2025 16:32
PATENTERAMERA skrev:

De är korrekta, tror jag, så länge som n är skilt från 5. Men om n = 5 så måste du utgå från att ei(5-n)x = ei0x = 1. När du integrerar. Annars få du division med noll, inte bra.

Ok men om allt är n=5 innan man integrerar så får vi endast detta  att integrera. Sen om man multiplicerar 2/pi med pi/2 så får man 1

PATENTERAMERA 7553
Postad: 22 nov 2025 16:35

Ja, så Fourierserien för cos(5x) är cos(5x), inte så förvånande, kanske.

destiny99 10925
Postad: 22 nov 2025 16:41 Redigerad: 22 nov 2025 16:46
PATENTERAMERA skrev:

Ja, så Fourierserien för cos(5x) är cos(5x), inte så förvånande, kanske.

jaha så cos(5x) är sin egen fourieserie dvs bara 1? då blir det alltså a_n=1 då b_n=0 . Nu har jag inte kollat på vad a_0/2 blir för att bestämma hela serien för jag har bara bestämt a_n här. Men om jag förstår detta rätt så behövde vi bara titta på n=5 för cos(nx)?  Jag trodde man behövde titta på cos5x separat och cosnx separat för att bestämma deras fourieserier. Sen kan ju n vara vad som helst på cosnx så lite förvånande att fokuset låg n=5 mest.

PATENTERAMERA 7553
Postad: 22 nov 2025 17:24

Tänk på att du var ute efter utvecklingen av cos(5x) inte cos(nx).

destiny99 10925
Postad: 22 nov 2025 17:32
PATENTERAMERA skrev:

Tänk på att du var ute efter utvecklingen av cos(5x) inte cos(nx).

Ja ok då är jag med.

Svara
Close