1
svar
40
visningar
KlmJan behöver inte mer hjälp
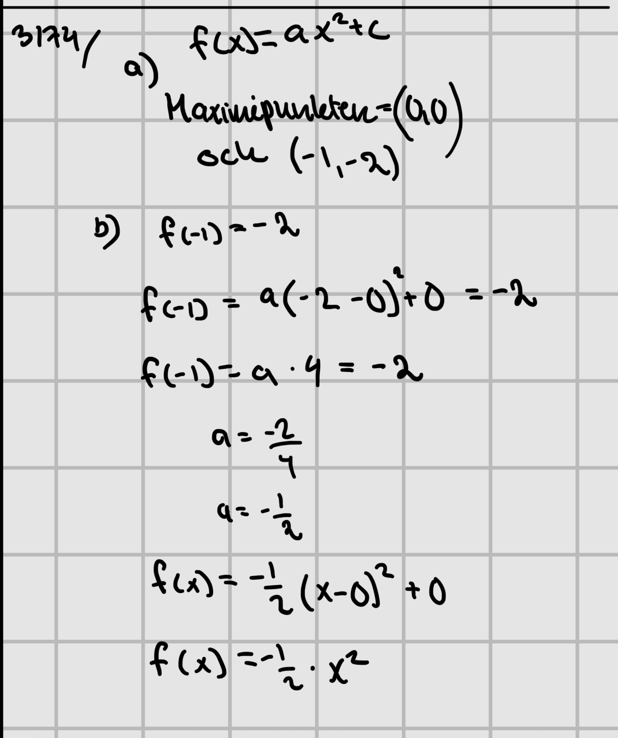
Bestäm funktionen för grafen
Hej! Hade behövt lite hjälp med följande uppgift b) då jag har lite svårt att kunna konstruera en funktion utefter värden på en graf:
jag tänkte använda mig av f(x)=a(xp)^2 + yp men det verkar som att jag gör något fel.

tacksam för all hjälp!
Nu ser jag att felet låg i att jag i första parantesen fär jag skrev a(-2-0) osv råkade skriva in y-koordinaten istället för x-Koordinaten. Jag löste uppgiften efter att korrigerat felet och fick rätt.