3 svar
97 visningar
RAgnar1337 behöver inte mer hjälp
RAgnar1337 21 – Fd. Medlem
Postad: 21 okt 2021 15:17

Bestäm funktionen i ett ekvationssytem, linjär algebra

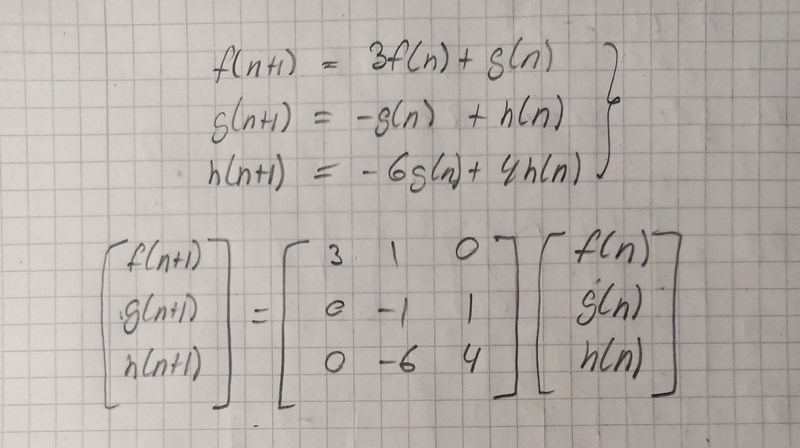
Hej, jag förstår inte riktigt hur jag ska ta mig vidare i denna fråga... (gammal tenta fråga)

Detta har jag gjort än så länge: 

Förstår inte hur jag ska ta mig vidare

Smutstvätt 23635 – Moderator
Postad: 21 okt 2021 16:20

Bra början! Vi ska även poängtera att f(1)g(1)h(1)=3100-110-64010

Nu vore det trevligt om vi kunde skriva om vår (3 x 3)-matris så att vi får en matris A, vars potenser lätt kan beräknas. Dvs. att vi får en funktion på formen f(n)g(n)h(n)=An·010, där AnA^n inte är en total plåga att beräkna för hand. 

Det finns en metod som ofta används när vi vill göra om en matris, så att vi snabbt kan beräkna potenser av den. Vilken metod är det? :)

RAgnar1337 21 – Fd. Medlem
Postad: 21 okt 2021 17:06 Redigerad: 21 okt 2021 17:17

Därifrån vill vi diagonalisera A, så att vi lätt kan ta fram An. Sedan kan man multiplicera An med 010.

Däremot har jag svårt att förstå varför vi kan skriva f(n)g(n)h(n) = An * 010

Varför kan det, till exempel, inte bli f(n)g(n)h(n)= n* A *010 ?

Kom på varför det blir så, tack för hjälpen :)

Smutstvätt 23635 – Moderator
Postad: 21 okt 2021 17:52

Vad bra! :)

Svara
Close