6
svar
110
visningar
Grobb behöver inte mer hjälp
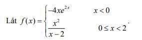
Bestäm funktionens definitionsmängd.
Hej!
Jag undrar bara hur man ska tänka när man löser denna uppgift.

Bestäm funktionens definitionsmängd.
Svaret blev x<2.
Förstår inte riktigt hur man kommer fram till det.
Står ju att x<0 och under står det 0<=x<2.
Vad blir:
?
Grobb skrev:-x<2
Det stämmer! Kan du skriva det på ett annat sätt?
x<2. Vilket är svaret eller hur?
Så det är så man ska tänka när man har 2 intervall. Att man tar unionen av dem?
Grobb skrev:x<2. Vilket är svaret eller hur?
Så det är så man ska tänka när man har 2 intervall. Att man tar unionen av dem?
Ja, det är korrekt.
Tack så jättemycket!