2
svar
183
visningar
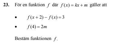
Bestäm funktioner utav två punkter.

Bör man inte sätta en av punkterna i själva funktionen?
Jag förstår inte riktigt din fråga.
Har du ritat en figur? Det hjälper - som vanligt - mycket.
om f(x)=kx+m vad blir då f(x+2)?
Sen tar du f(x+2)-f(x)=3 och förenklar så långt du kan (det visar sig att du får ut vad k är).
vidare: f(4) är ju k*4+m
Du får dessutom reda på att f(4)=2m vilket tillsammans ger dig
k*4+m=2m
4k=m och du har redan räknat ut vad k är så nu har du m också.
Testa att du fått rätt!