Bestäm funktionsuttryck
Hej! Jag har inte löst dessa typer av uppgifter innan och hat svårt att förstå hur man ska tänka. Skulle uppskatta om jag fick lite tips. :)
Villkoren säger något om funktionens derivata t.ex. ett max i (1,2) säger att derivatan är 0 för x=1 och dessutom något om teckenväxlingen där. Så det gäller att hitta den funktion som uppfyller det och senhitta dess primitiva funktion och till sist justera konstanten så att y-värdet blir det önskade.
Jag har förstått a men hur ska jag kunna använda min funktion i a för b? Kan deg finnas ett enklare sätt att tänka?

Okej missuppfatta uppgiften men jag kommer inte vidare med b) hur ska jag tänka?
Jag har suttit med den här länge ni men jag fattar inte varför det inte blir rätt. Uppskattar lite vägledning på denna.
Du vill alltså ta fram ett funktionsuttryck som har en lokal maximipunkt i (1,2) och en lokal minimipunkt i (5,-4).
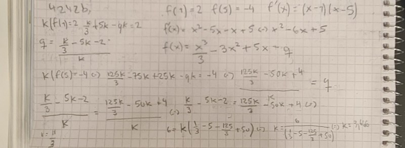
Den minst tillkrånglade funktion som uppfyller de båda villkoren är en tredjegradsfunktion f(x) = ax3+bx2+cx+d. Denna har derivatan f'(x) = 3ax2+2bx+c och andraderivatan f"(x) = 6ax+2b. Tredjegradsgrafen kommer i stort sett att se ut så här: / fast knöligare, så a är ett positivt tal.
Förstaderivatan har nollställena x = 1 och y = 5, så f'(x) = k(x-1)(x-5) = k(x2-5x-x+5) = kx2-6kx+5k. Om man jämför detta med uttrycket för derivatan f'(x) = 3ax2+2bx+c ser man att a = k/3, att b = -3k och att c = 5k. Den ursprungliga funktionen var alltså y = kx3/3-3kx2+5kx+d. Vi har två okända variabler, k och d, och två ekvationer f(1) = 2 och f(5) = -4 så vi bör kunna få ut värdena med ett ekvationssystem.
Kort sagt, felet du har gjort är att du har utgått från att k = 1.