1
svar
268
visningar
Shadosi 2 behöver inte mer hjälp
Bestäm genom partiell integration:
Hej! Jag har denna fråga och har löst den och fick svaret, kommer ha en bild på min lösning här under, men sen när jag kontrollerar i wolfram alfa appen så får jag ett annat svar! Kan någon hjälpa mig tack.
![]()
Min lösning:
wolfram alfa lösning:

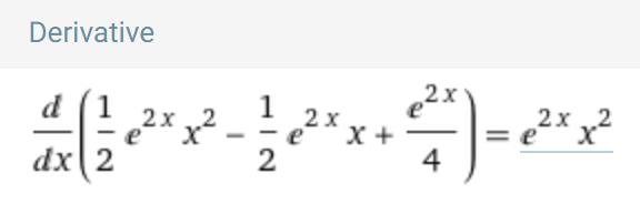
Jag tycker din lösning ser utmärkt ut och WA håller med:

... även åt andra hållet:

Att du inte är överens med WA beror på skillnaden mellan e2x och e2x.

Bra integrerat på papper, men passa parenteserna! :-)